Home / Examples / Piezoelectric Analysis [Rayleigh] / Example 20: Resonant Frequency of Cantilever

The measured resonant frequency and the theoretical value of cantilever will be compared.
The material is not piezoelectric.
Results will vary depending on Femtet version and the PC environment.
Item |
Settings |
Solver |
Piezoelectric Analysis [Rayleigh] |
Analysis Space |
2D |
Thickness in Depth Direction |
1 [mm] |
Analysis Type |
Resonant Analysis |
Unit |
mm |
Analysis Plane |
2D section |
Variables to Constrain |
Select [Electric Potential] and [Y Displacement] Deselect [X Displacement] and [Z Displacement]
|
Options |
Deselected |
Left end is fixed.

Body Number/Type |
Body Attribute Name |
Material Name |
0/Solid |
Body_Attribute_001 |
Material_Property_001 |
Material Name |
Tab |
|
Material_Property_001 |
Piezoelectricity |
Piezoelectricity: No Anisotropy: Isotropic Young's Modulus: 1x1010 [Pa] Poisson's Ratio: 0.0 |
Boundary Condition Name/Topology |
Tab |
Boundary Condition Type |
Setting |
fix/Face |
Mechanical |
Displacement |
Select all UX, UY, and UZ. UX=0, UY=0, UZ=0 |
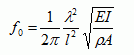
The resonant frequency calculated by Femtet is compared to the theoretical value of cantilever.


The difference between the measured and the theoretical values is given in the following equation.
Difference = (Resonant Frequency/Theoretical Value of Cantilever) - 1.0
The theoretical value is given in the following equation.

f0: Resonant frequency [Hz]
E: Young's Modulus [Pa]
I: Second Moment of Section (=(Depth x (Height^3))/12) [m4]
ρ: Density [kg/m3]
A: Section Area [m2]
l:: Length [m]
λ=1.8751