Home / Examples / Piezoelectric Analysis [Rayleigh] / Example 23: Air Damping of Cantilever

In this example, a cantilever is analyzed with damping by the air resistance taken into account, and the damping ratio (1/(2*Q)) of the fundamental mode is obtained. The damping is given by the acoustic impedance boundary condition. Its value is presumed from the drag applied to the sphere in the fluid.
The obtained damping ratio matches with the experiment value by the difference of about 20%.
Piezoelectricity is ignored in the calculation.
Unless specified in the list below, the default conditions will be applied.
Results will vary depending on Femtet version and the PC environment.
Item |
Settings |
Solver |
Piezoelectric Analysis [Galileo] |
Analysis Space |
3D |
Analysis Type |
Resonant Analysis |
Unit |
m |
Options |
N/A |
Resonant Analysis Tab
Tab |
Setting Item |
Settings |
Resonant Analysis |
Number of Modes |
3 |
Approximated Frequency |
0 [Hz] |
The model is a cantilever of SiO2 (300x40x1 [um]) with an Au layer (thickness: 0.1 m) surrounding it. The analysis is performed using cantilevers of lengths 300, 250, and 150 [um].

Body Number/Type |
Body Attribute Name |
Material Name |
3/Solid |
SiO2 |
SiO2 |
4/Solid |
Au |
Au |
Material Name |
Tab |
Value |
SiO2 |
Density |
2.50X103 [kg/m3] |
Piezoelectricity |
Young's Modulus: 79x109 [Pa] Poisson's Ratio 0.3 |
|
Au |
Density |
1.932x104 [kg/m3] |
Piezoelectricity |
Young's Modulus: 80x109 [kg/m3] Poisson's Ratio 0.42 |
Boundary Condition Name/Topology |
Tab |
Boundary Condition Type |
Settings |
FIX/Face |
Mechanical |
Displacement |
UX=0, UY=0, UZ=0 |
Outer Boundary Condition |
Mechanical |
Acoustic Impedance |
Real part=zre Imaginary Part = zim |
(*)Zre and zim are defined by variables for easy input.
To perform analysis taking into account air damping, it is required to set a proper value for the acoustic impedance (Z).
One method to determine the acoustic impedance value having the equivalent effect of air resistance may be to determine the acoustic impedance value so that the analysis results match the experimental results. In this example, however, a method is devised to determine the acoustic impedance by calculation so that a reasonable analysis is possible even if there are no experimental results.
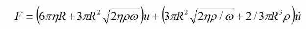
Since the method to calculate the acoustic impedance directly is not known, an approximate method is used. The force applied to the sphere that harmonically oscillates in the air with a minute amplitude is obtained theoretically as in equation (See reference below). One theoretical equation is shown below.
(1)
where R: radius of sphere, ω: angular frequency, u: velocity, η: air viscosity=1.81e-5 [Pa s] ρ: air density=1.18 [kg/m3].
Using this equation, the acoustic impedance is determined so that the disc with the same radius (R) as that of the sphere, when vibrating at the same velocity as the sphere, receives the same force from the air as that of the sphere. (Fig. 1) The input value (Z) for the boundary condition of acoustic impedance is Z=pressure/velocity. The pressure is acquired by dividing the force in equation (1) by the surface area of the disc (2πR2). The front and back sides of the disc are taken into account, and the influence of the side face is ignored. Based on this idea, the acoustic impedance can be given by the equation (2). The acceleration can be written as du/dt=jωu as the vibration is assumed to be harmonic.

Fig. 1 (A) Sphere that receives force from air by vibration, (B) Disc that receives force from air by vibration
Acoustic impedance of the disc is determined so that the disc receives the same force as the sphere.
(2)
Assuming the sphere has a diameter equivalent to the depth of the cantilever (b), the acoustic impedance is obtained by the equation (2).
The angular frequency is necessary to calculate the equation (2). It is acquired by the resonant analysis without setting the acoustic impedance (Z=0).
The table below shows the acquired resonant frequencies and acoustic impedances by the equation (2). Since the depth of the cantilever is 40μm, the calculation is performed with R=20 μm.

Table 1. The resonant frequencies without setting the resonant impedances (Z=0) and the acoustic impedances acquired by the equation (2)
Go to Analysis Condition > Resonant analysis tab > Approximated Frequency, and enter f0 of Table 1. By setting the acoustic impedance value, that is given by the frequency, to the outer boundary condition for analysis, the complex resonant frequency will be acquired.
Damping ratio and Q factor are acquired from the complex resonant frequency.
The result diagram is shown as below.

The fundamental vibration mode of the cantilever can be observed. Color of the contour correspond to the magnitude of displacement.
The list below shows the acquired complex resonant frequencies (f0). The damping ratio is acquired as a ratio of real part and imaginary part of f0. The values are compared with the measured values (see reference below).
The most right column of the below table shows the ratio of the calculated and measured values. They match within the error of 20%.

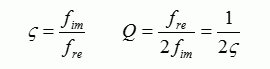
For your reference, the relation of damping ratio (ζ), Q , and complex resonant frequency (f0=fre+j fim) is shown below.

References
*1 Landau & Lifshitz: Fluid Mechanics
*2 Christian Bergaud, Liviu Nicu and Augustin Martinez: Multi-Mode air damping analysis of composite cantilever beam ,Jpn.J.Appl.Phys., 38,(1999)6521