Home / How to Set Body Attribute, Material Property and Boundary Condition / Fluid Analysis [Bernoulli] / Boundary Condition / Turbulent Flow Setting
Turbulent Flow Setting
If turbulent flow is selected in the analysis condition setting, the turbulent flow energy and the energy dissipation rate are required to set the state of incoming fluid.
The turbulent inflow rate is defined by inlet or inlet/outlet setting in the boundary condition.
For the general explanations of the boundary condition setting, refer to [Boundary Condition of Fluid Analysis] of Technical Note.
|
Setting Item |
Notes |
||||||||||||
|
K_Turbulent Flow Energy |
|
||||||||||||
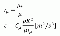
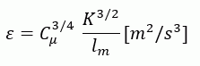
| ε_Energy Dissipation Rate |
|
||||||||||||
| ω_specific dissipation rate |
Calculate ω in the same way as ε. Convert ε calculated above into ω using the equation below.
|









