Home / Technical Notes / Stress Analysis / Enhanced Assumed Strain Method
Enhanced Assumed Strain Method
The enhanced assumed strain method is intended to improve the analysis accuracy of the 1st-order elements of 3D hexahedron and of 2D rectangle in the stress analysis.
The method is not supported in the piezoelectric analysis. And the method is not applicable for shell elements.
The enhanced assumed strain method is applied for 1st-order elements of 3D hexahedron and 2D rectangle by default.
To use the typical 1st-order elements for calculation, deselects the enhanced assumed stress method in [Setting of Stress Analysis and Piezoelectric Analysis] of the [High-Level Setting] tab.
The 1st-order elements do not have middle nodes. When the force is applied which generates pure bending, the elements have large shear deformation. It makes the stiffness larger than the theoretical value.
This phenomenon is called shear locking. It is prominent in the flatter elements.
The 1st-order elements of the 2D cantilever, for example, show smaller displacement indicating the higher stiffness.
When the enhanced assumed strain method is applied, the 1st-order elements show the displacement equivalent to the 2nd-order elements.

The enhanced assumed strain method adds degree of freedom to the inside of elements and assumes strain in the elements.
With the additional degree of freedom, stiffness equation of element is expressed as below.
where the intended displacement is u, the additional degree of freedom is α, the nodal force is Fe, and the internal force of the additional degree of freedom is Fα.

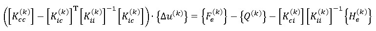
When the internal force of the additional degree of freedom Fα is set to zero, the additional degree of freedom α is eliminated and the element stiffness equation is expressed as follows.
The operations are called static condensation.

The operations of static condensation will take longer time to build the element stiffness equation than typical 1st-order elements.
As the size of the overall stiffness matrix does not change, the simultaneous equations can be solved much faster than the 2nd-order elements.
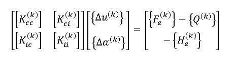
In the case of nonlinear analysis, following equations are statically condensed in the way of iterative calculations of Newton-Raphson method.
He expresses inner vectors of the non-adaptable mode.

Static condensation will give a equation of nonlinear element stiffness by the enhanced assumed strain method.

In Femtet, to formulate the enhanced assumed strain method, 21, 7, and 5 degrees of freedom are added for 3D hexahedral, 2D rectangular, and axisymmetric rectangular elements, respectively.


