Home / Technical Notes / Stress Analysis / Analysis of Nonlinear Materials / Analysis of Creep Materials
Analysis of Creep Materials
(Note) Creep analysis is available in an optional package.
Creep Law
Femtet deals with "power law" as creep law.
Creep strain is a function of stress and time as defined below.

where σ is stress, t is time, and a0, a1 and a2 are creep constants.
Specifically, σ is von Mises equivalent stress at each element's integral point,
and t is the time set on the Step/Thermal Load tab.
Creep strain is inelastic strain just like plastic strain.
The stress relaxation is usually observed if the creep strain increases in the course of time.
For example, see Ex.39: Elasto-Plastic Creep Material Subjected to Repetitive Thermal Loading.
Hardening Law
Creep strain is a function of stress and time.
There are time-hardening law and strain-hardening law.
Femtet applies the strain-hardening law to creep materials.

If the stress has time steps as shown above,
the creep strain will vary with time as shown below.

The creep strain for the time period of 0 to t1, t1 to t2 and after t2 is based on σ1, σ2 and σ3 respectively.
The strain is continuous at the step-change points of stress.
When the stress is reversed, the strain-hardening law proposed by ORNL is applied.
internal ports.
Reference: M.Kojic,K.J.Bathe [Inelastic Analysis of Solids and Structures] Springer
How to Set Creep Constants
If the power law is known, enter the values into A0, A1 and A2 on the Creep tab of [Edit Material Property] dialog box.

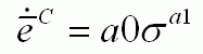
You may know the differential equation below instead.

In this case, enter into A0 and A1 the values as given by the differential equation, and enter 1 into A2.
The units for stress and time are selectable on the tab.

Materials setting for Creep Analysis
The materials listed below are supported.
By combining with Elasto-plastic materials, elasto-plastic creep analysis can be performed.
As combination with viscoelastic materials is not supported, select [No viscoelasticity] in the [Defined by] on the Viscoelasticity tab.
- [Elasticity tab] (Material Type: "Elastic/Isotropic", "Elasto-plastic/Bilinear", "Elasto-platic/Multilinear", Temperature Dependency: "No", "Yes" Hardening Law: "Isotropic hardening", "Kinetic hardening")
- [Coefficient of Linear Theraml Expansion] (Temperature Dependency: "No", "Yes" Anisotropy: "Isotropic", "Anisotropic")
- [Creep tab] (Creep Type: "Power law")
Analysis Conditions
Set up as follows.
1. Select [Static analysis] on the Stress Analysis Tab and select [Set up ] for the Time setting on the Step/Thermal Load Tab.
2. Select [Transient analysis] on the Stress Analysis Tab.
Results Display
Creep strain, Equivalent creep strain, Accumulated equivalent creep strain, and Accumulated equivalent inelastic strain are displayed.


