Home / Technical Notes / Stress Analysis / J Integral
J Integral
Strain Energy Release Rate
Strain energy release rate indicates the crack progressability.
It is based on the potential energy difference before and after the crack progress.
The potential energy of an area, V, is given by
- Equation 1
where V = Volume of the area, We = Strain energy density, T = External force, u = Displacement, S = Surface area
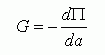
Strain energy release rate (G) is the decrease rate of potential energy against the crack length (a).
- Equation 2
If G > 0, the potential energy is smaller after the crack progress,
hence more stable.
The cracking makes a progress if G exceeds the crack progress resistance, Gc.
- Equation 3
Strain Energy Release Rate Calculated by J Integral
To obtain the strain energy release rate, Example 34: Energy Release Rate changes the crack length.
With J integral, you don't need to change the crack length, so the simulation is simpler. From Equations 1 and 2, the following equation is obtained.
- Equation 4
where Γ = the integral path enclosing the tip of crack, We = Strain energy density, ni = the normal vector of the integral path, Γ,
Ti = External force vector, ui = Displacement vector
Subscripts (i and j): 1 = x-direction component, 2 = y-direction component, 3 = z-direction component
By using the stress tensor (σij) and the normal vector (nj), Equation 4 can be written as follows.
- Equation 5
Integral Path
[Segment Face] can be used to create the integral path during the modeling.
Alternatively you may create a sheet body, set the mesh size and define it as imprinting body. See [How to Set Body Attribute Partially] for the detail.
See Example 46: Energy Release Rate Calculated by J Integral.
The integral path can be any shape or size as long as the conditions below are met.
- It encloses the tip of the crack.
- It starts at a point on an edge of the crack and ends at a point on the other side of the crack.
- The startpoint and endpoint are symmetrically positioned across the crack.
- It is on a plane.
- Its interior angles are less than 180 degrees.
Here are some examples:

Good integral paths

Bad integral paths
Components of Strain Energy Release Rate
Strain energy release rate is a vector.
The x/y/z component indicates the crack progressability in each direction.
In case of isotropic materials, θ and φ indicate the directions in which the cracking makes a progress.
- Equation 6 
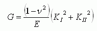
Strain Energy Release Rate and Stress Intensity Factor
To evaluate the cracking, the stress intensity factor is used as well.
The strain energy release rate can be described with stress intensity factors: KⅠ (opening mode) and KⅡ (in-planar shear mode)
Planar stress approximation
- Equation 7
Planar strain approximation
- Equation 8
Executing J Integral on Results Window
Select the edge topology and execute J integral as on [Right-click Menu for Results Window].
Executable only when the stress is on display.


