Home / Technical Notes / Magnetic analysis / Differential Equations in Magnetic Transient Analysis
Differential Equations Solved in the Magnetic-Transient Analysis

H : Magnetic field
Ee: Induced electric field
B : Magnetic flux density
J0: Forced current density (current density of inductor)
Je: Eddy current density
μ: Permeability
σ: Electric conductivity
In the magnetic transient analysis, the equations (1b'), (2a), (5b), (3), and (6) are solved for the given forced current density J0, residual magnetization of magnet M0, and boundary condition. And H, B, Ee, and Je are obtained.
Equation (1b') is Ampere's law. * Note 1
Equation (2a) is Gauss's law for magnetism.
Equation (5b) is Faraday's law of induction. * Note 2
Equation (3) defines the relation between the material's magnetic flux density and field.
Equation (6) defines the relation between material's current density and electric field.
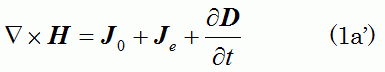
* Equation (1b')
The extended form of Equation (1b') is Maxwell-Ampere equation given by (1a'):

H : Magnetic field
J0: Forced current density (current density of inductor)
Je: Eddy current density
D : Electric flux density
In the quasi-static analysis which deals with eddy current, contribution by ∂D /∂t can be ignored. Equation (1b'), therefore, can be used.
For high-frequency simulations where ∂D /∂t cannot be ignored, please use Solver "Hertz". See Overview of Electromagnetic Analysis.
Governing Equation
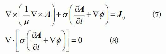
Solver "Luvens" solves equations which are derived from Equations (1b'), (2a), (5b), (3), and (6).
First, Solver "Luvens" obtains Equations (2b) and (5c) defined by (A, φ).

B : Magnetic flux density
Ee: Induced electric field
A : Magnetic vector potential
φ: Electric scalar potential
These equations satisfy Equations (2a) and (5b) automatically.
Equation (1b) is rewritten by using magnetic vector potential A and electric scalar potential φ.
Equation (7) is derived by substituting Equations (2b), (5c), (3), and (6) in Equation (1b’). Equation (8) is derived by applying [∇・] to Equation (7). These are the governing equations which magnetic and electric potentials (A , φ) must satisfy.

A : Magnetic vector potential
φ: Electric scalar potential
J0: Forced current density (current density of inductor)
μ: Permeability
σ: Electric conductivity
Solver "Luvens" solves Equations (7) and (8) and obtains the space distribution of magnetic vector potential A, electric scalar potential φ, and permeability μ.
Once A is obtained, space distribution of magnetic flux B is obtained in Equation (2b). By substituting B and permeability μ in Equation (3), magnetic field H is obtained.
If conductor does not exist in the analysis space, Equation (7') is derived from (7). Equation (8) is not used as σ is identically 0.

Equations (7), (8) or (7') are solved under the boundary conditions as follows.
Electric wall boundary face: The magnetic flux density B is in parallel to the boundary face
Magnetic wall boundary face: The magnetic flux density B is perpendicular to the boundary face
Periodic boundary face: Contacting faces of periodic boundary conditions (1 period or half period).
Two contacting faces of the periodic boundary are set as one.
Note 1)
J0's space distribution is approximated with a static electric field model and given on the right side of Equations (7) or (7').
Note 2)
There must be a solution for ∇・J0 = 0
Unlike Solver "Gauss", Solver "Luvens" does not have a null vector processing function. The ends of the inductor, therefore, must be set on the boundary of the analysis space.
If the ends of inductor are inside the analysis space, current of inductor is generated and disappears locally, and the conservation laws of current are not satisfied.
If the inductor is a loop coil, the ends of coil do not exist in the analysis space, and this Note is not applicable.
Note 3)
If a magnet is included in the model, Equation (7) is replaced by Equation (7').

Also, Equation (3) is replaced by Equation (3').

μm : Recoil permeability of magnet (the ratio to permeability in the free space is usually 1.03 - 1.05)
M0: Residual magnetization of magnet (where magnetic field H = 0)


