Home / Technical Notes / Electromagnetic analysis / 名称未設定ページ / Thin Electrode Elements
Thin Electrode Elements
1. Thin Electrode Elements
Thin electrode elements are for the analysis that takes the thickness of thin electrodes into account. When conductor or multilayer electrode is selected on the conductivity tab for the material property,
the thin electrode elements are applied to the sheet bodies in 3D analysis and the wire bodies in 2D analysis. As the thickness of electrode, [Thickness/Width] set for the body attribute is used.
By using the thin electrode elements, you can execute the analysis taking the thickness of electrode into account. It is not required to set the meshing in the thickness direction.
To use the thin electrode elements, select an option for [Take thickness of face/edge electrode into account] on the electromagnetic analysis tab.
If deselected (default setting)
For both conductor and multilayer electrode, the analysis will be the same as the one that specifies the boundary condition (surface impedance and multilayer electrode).
In this case, the thickness of electrode is not taken into account.
If selected
By using the thin electrode elements, the thickness of electrode is taken into account. This is effective especially
when the electrode thickness is same as or thinner than the skin depth. The calculation of conductor loss is more accurate than specifying the conductor boundary condition (surface impedance or multilayer electrode).
This is because the conductor boundary condition assumes that the electrode is thicker than the skin depth,
whereas the thin electrode elements take into account the electric field inside the thin electrode for the analysis as well.
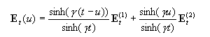
The electric field in the thin electrode elements is assumed to have only the parallel component to the electrode and is calculated as follows:
(1) |
| Et(1): component of the electric field parallel to the electrode at u=0 Et(2): component of the electric field parallel to the electrode at u=t |
where u is a coordinate value in the thickness direction of the electrode.
More exactly, t is the thickness of electrode. γ is the propagation constant inside the electrode.
-
It can be used in 2D waveguide analysis solving the propagation constants and 3D harmonic/resonant analysis.
-
The conductivity must be set up in the material property.
-
The thickness must be set. For the conductive material, go to Thickness/Width tab in the body attribute, and for the multilayer electrode, go to Conductivity tab.
-
They must be created inside the model.
-
If the fast frequency sweep is used in the 3D harmonic analysis, the thin electrode elements cannot be used.
-
The surface roughness cannot be taken into account.
2. Comparison with the Theoretical Calculation
Analysis accuracy of the thin electrode elements is verified by comparing with the theoretical calculation. (Example 44: Thin Electrode Elements)
An analysis model is shown in Fig. 1. A thin electrode is set in the ambient air. The electromagnetic waves enter from port_001.
Some of the waves are reflected at the thin electrode element and others reach port_002 passing through the electrode. The thin electrode element is used for this electrode.
-
If the thin electrode element is not used in this model, the electrode is assumed to be sufficiently thicker than the skin depth. The entering electromagnetic waves from port_001
do not pass through the electrode and do not propagete to port_002.

Fig. 1: Analysis Model
Below is the comparison between the numerical results using thin electrode element and the theoretical results.
The theoretical results are given by the impedance matrix of the transmission line represented by the following equations where t is a thickness of the electrode.

When this impedance matrix is converted to the S-parameters using the impedance of the plane waves in a vacuum as a reference impedance, the theoretical value of S-parameters of the model in Fig. 1 is obtained.
In the theoretical calculation, the S-parameters are obtained as follows with frequency: 1 [MHz], conductivity: 1x107 [S/m], and electrode thickness: 10 [nm].
|S11| = -0.449 [dB]
|S21| = -25.949 [dB]
Loss: 0.0957 [W]
The results of numerical analysis are as shown in Fig. 2.
|S11|=-0.44941[dB]
|S21| = -25.947 [dB]
Loss (METAL): 0.09576 [W]
The results of the numerical analysis and theoretical calculation match, indicating the high accuracy of the thin electrode elements.

Fig. 2: Numerical Analysis Results (S-parameters and Power Consumption)
3. Caution about Thin Electrode
By applying thin electrode elements for the thickness, the thickness of the electrode can be taken into account. You must be aware of the following issue when you deal with "thin" electrode.
In the left figure of Fig. 3, the thicknesses of the dielectric material and the electrodes are almost same. The right figure of Fig. 3 is a modified model where the thin electrode elements are used for electrodes (conductors).
In the setting of the right figure of Fig. 3, the thickness of the conductors is ignored as a modeling unit because they are sheet bodies. That is quite different from the actual model of the left figure.
Though the numerical analysis can deal with the electric field within the electrode, if the model is different to this extent, the accuracy will be low as a result.

Fig. 3: Analysis Model (left: actual model, right: model using thin electrode elements)
In the case like this, the thickness of electrodes (conductors) must be taken into account as well as the dielectric material when creating a model. The body is solid body in 3D and sheet body in 2D analysis.
-
It is necessary to pay attention to the thickness of the dielectric regardless of the use of thin electrode elements. Even if the thin electrode elements are not used,
if the dielectric is thin, the electrodes must be created in the same way as the dielectric material taking thickness into account.



(1)