Home / Technical Notes / Thermal Analysis / Results Obtained in the Thermal Analysis (Table)
Result Table in the Thermal Analysis
Results obtained are as in the following table.
Detail explanation of heat balance, heat flow rate, thermal resistance, and junction thermal resistance is also available below.
|
Item |
Parametric Analysis |
Parametric Analysis |
Notes |
|
Time |
Time |
None |
Gives you the time [s]. It is available in the transient analysis. |
| Temperature |
The Maximum Temperature [deg] of the Whole Model The Minimum Temperature [deg] of the Whole Model The Average Temperature [deg] of the Whole Model |
None |
Gives you the maximum, minimum, and average temperatures [deg] of the whole model. |
|
Maximum Temperature Minimum Temperature Average Temperature |
Body Attribute |
Gives you the maximum, minimum, and average temperatures [deg] of the specified body attribute. |
|
|
Boundary Temperature [deg] |
Maximum Boundary Temperature [deg] Minimum Boundary Temperature [deg] Average Boundary Temperature [deg] |
Boundary Condition |
Gives you the maximum, minimum, and average temperatures [deg] of the specified boundary. |
| Heat Balance |
Sum of Heat Quantities |
None |
Gives you the heat quantity [W] of the whole model. |
|
Total Inflow and Outflow of Heat |
Components of the Heat Flow Rate (Note *1) |
Gives you the heat outflow and inflow [W] of the specified components of the whole model. |
|
|
Heat Storage |
None |
Gives you the sum of the heat storage [W]. It shows the heat consumed for the temperature rise. It is available in the transient analysis. |
|
| Heat Quantity |
Body Attribute |
Gives you the hat quantity [W] of the specified body attribute. | |
|
Inflow and Outflow of Heat |
Body Attribute Components of the Heat Flow Rate (Note *1) |
Gives you the heat inflow and outflow [W] of the specified components at the specified body attribute. |
|
|
Heat Storage |
Body Attribute |
Gives you the heat storage [W] of the specified body attribute. It shows the heat consumed for the temperature rise. It is available for the transient analysis. |
|
| Heat Flow Rate |
Heat Flow Rate |
Terminal 1 (Note *2) (Face of Terminal 1 Selected) Terminal 2 (Note *2) (Face of Terminal 2 Selected) Components of the Heat Flow Rate (Note *3) |
Gives yo the heat flow rate [W] between the two specified terminals. Body attribute set with boundary condition or heat quantity is selectable for the terminal.
The value between terminals and boundary given in the static and the transient analyses. The value between terminals is given only in the static analysis. |
| Thermal Resistance |
Thermal Resistance |
Terminal 1 (Note *2) (Face of Terminal 1 Selected) Terminal 2 (Note *2) (Face of Terminal 2 Selected) Components of the Thermal Resistance (Note *4) |
Gives yo the thermal resistance [deg/W] between the two specified terminals. Body attribute set with boundary condition or heat source is selectable for the terminal.
The value between terminals and boundary is given in the static and the transient analyses. The value between terminals is given only in the static analysis. |
| Junction - Ambient Thermal Resistance |
Junction-Boundary Thermal Resistance |
Body Attribute Boundary Condition Face of Boundary Condition Selected (Note *2) |
Calculates the thermal resistance [deg/W] between the specified junction (body attribute set with heat quantity) and the boundary condition. Available only in the steady-state analysis. |
|
Junction-Ambient Thermal Resistance |
Body Attribute |
Gives you the thermal resistance [deg/W] between the specified junction (body attribute set with heat quantity) and the ambient. Average value of ambient temperature set in the [Heat transfer: convection] for the boundary condition is used as the ambient temperature. It is given in the steady-state analysis. |
|
| Convergence Judgment |
Convergence Judgment |
None |
Gives you the judgment result for the nonlinear calculation. 1: Converged 0: Not converged |
Note *1
Select a component to acquire from either advection (in) (only in the case of coupled analysis with the fluid), thermal conductivity(in), convection(in), radiation(in), other(in), advection (out) (only in the case of coupled analysis with the fluid), thermal conductivity(out), convection(out), radiation(out), or other(out).
[Other] is the heat flow rate which is generated at the temperature boundary or at the heat flux boundary, or the one for which the coefficient of heat transfer is set at the heat transfer: convection boundary.
Note *2
Body attribute or boundary condition set with heat quantity is selectable for the terminal.
Two faces exist in the thermal resistance boundary. Numbering of the faces is needed. (Except for the thermal resistance boundary, either face is selectable. )
Note *3
Select a component to acquire from whole, advection (only in the case of coupled analysis with the fluid), thermal conduction, convection, radiation, or other.
[Other] is the heat flow rate which is generated at the temperature boundary or the heat flow rate for which the coefficient of heat transfer is set at the heat transfer: convection boundary.
Note *4
Select a component to acquire from whole, advection (only in the case of coupled analysis with the fluid), thermal conduction, convection, radiation, or other.
[Other] is the thermal resistance where the coefficient of heat transfer is specified for the heat transfer: convection boundary.
Calculation of Heat Balance
In the thermal analysis, the expression below must be satisfied for all bodies.
Heat quantity inside the body + Heat inflow at the body surface = Heat outflow at the body surface + Heat storage inside the body
The sum of these kinds of heat amount is output for each body attribute.
Inflow and outflow of the heat will be broken into 4 components of thermal conduction, convection, radiation, and other.
If the heat storage is positive, the heat amount is used for the temperature rise. If it is negative, the temperature goes down and the heat is radiated.
In the steady-state analysis, heat storage is not output as it is zero.
Calculation of Heat Flow Rate and Thermal Resistance
The heat flow rate and the thermal resistance are calculated by converting the analysis model to the equivalent circuit.
Refer to Example 21 of Thermal Analysis for details.
When converting the analysis model to the equivalent circuit, the following two items are used as nodes in the circuit.
- Body attribute set with [heat quantity]
- Boundary condition other than [adiabatic]
(In Femtet, node is called terminal.)
Functions in the circuit are listed as follows.
|
Body Attribute/Boundary Condition |
Circuit |
Notes |
|
Body Attribute Set with Heat Quantity |
Heat Source |
|
|
Temperature Boundary |
Temperature Difference |
Heat flow rate to the ambient is generated. |
| Heat Flux Boundary |
Heat Source |
|
| Heat Transfer: Convection Boundary |
Thermal Resistance |
Thermal resistance is generated in the gap of ambient and surface of boundary condition. Heat flow rate to the ambient is generated. |
| Ambient radiation |
Thermal Resistance |
Thermal resistance is generated between the ambient and the surface of boundary condition. Heat flow rate to the ambient is generated. |
| Surface-to-Surface Radiation Boundary |
Thermal Resistance |
Thermal resistance is generated in the gap of ambient and surface of boundary condition. Heat flow rate to the ambient is generated. |
| Thermal Resistance Boundary |
Thermal Resistance |
Thermal resistance is generated between two faces of the body. |
| Measuring Terminal Boundary |
Node |
It is used for additional nodes. |
| Uniform Temperature Boundary |
Node |
Nodes such as temperature will be added. |
Assuming that all terminals are connected by resistors, the heat flow rate and thermal resistance between the terminals are calculated.
If terminal generates heat flow or thermal resistance to the ambient, the heat flow rate and the thermal resistance will be output.

If the heat flow rate of zero and the thermal resistance of ∞ are given by the calculation, it is considered that there is no thermal connection. Thus, the heat flow and thermal resistance between the terminals will not be output.

If multiple forms of thermal flow such as [convection] and [radiation] are generated, they are considered to form the parallel circuit.
In this case, output results are heat flow rate and thermal resistance for each form and total heat amount and total thermal resistance of the parallel circuit.

Calculation of Junction Thermal Resistance
Temperature rise of the junction (pn junction in the semiconductor chip) must be kept below allowable temperature when the semiconductor package is used.
Thermal resistance is used to estimate the temperature of junction (heating part) based on the ambient temperature or surface temperature of the semiconductor package.
The definition and calculation of the thermal resistance used here are different form the one derived from the equivalent circuit mentioned in the above.
Femtet has, therefore, a function to output [junction thermal resistance] in addition to the [thermal resistance] mentioned in the above.

Generally, 5 types of thermal resistance and heat parameters listed below are used which are stipulated in the JEDEC standard (JESD51).
Output method in Femted is described in the list below too.
Refer to [Example 22: Measurement of the Junction Thermal Resistance] for the details.
|
Type |
Equation |
Output by Femtet |
|
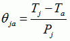
Junction-Ambient Thermal Resistance θja |
|
Creates an analysis model having natural convection environment based on the measurement environment of JEDEC standard. Specifies the ambient temperature at [Heat transfer: Convection] boundary condition. Outputs the Junction-Ambient thermal resistance. |
|
Junction-Package Surface |
|
Creates an analysis model where the heat radiates only through the package surface based on the measurement environment of JEDEC standard. Sets the boundary condition of [Measurement terminal C] at the center of the top of the case. Outputs the junction-boundary thermal resistance and confirms the value of [measurement terminal C]. |
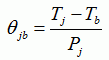
| Junction-Substrate Thermal Resistance θjb |
|
Creates an analysis model where the heat radiates only through the substrate based on the measurement environment of JEDEC standard. Sets the boundary condition of [Measurement terminal B] at the substrate within 1mm distance from the semiconductor package. Outputs the junction-boundary thermal resistance and confirms the value of [measurement terminal B]. |
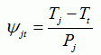
| Junction-Top of Case Heat Parameter Ψjt |
|
Creates an analysis model having natural convection environment based on the measurement environment of JEDEC standard. Sets the boundary condition of [Measurement terminal C] at the center of the top of the case. Outputs the junction-boundary thermal resistance and confirms the value of [measurement terminal C]. |
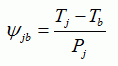
| Junction-Substrate Heat parameter Ψjb |
|
Creates an analysis model having natural convection environment based on the measurement environment of JEDEC standard. Sets the boundary condition of [Measurement terminal B] at the substrate within 1mm distance from the semiconductor package. Outputs the junction-boundary thermal resistance and confirms the value of [measurement terminal B]. |
Tj: Junction temperature, Pj: Junction heat quantity
Ta: Ambient temperature, Tt: Temperature at the top of case, Tc: Surface temperature of case, Tb: Surface temperature of substrate within 1mm distance from the semiconductor package
The junction-ambient thermal resistance and the junction-boundary thermal resistance are calculated in the equations below.
|
Type |
Equation |
Notes |
|
Junction-Ambient Thermal Resistance θja |
|
Pj: The heat quantity[W] of the selected body attribute Tjmax: The maximum temperature [deg] of the selected body attribute Ta: The average value of ambient temperature set in the boundary condition [Heat transfer: Convection] |
|
Junction-Boundary Thermal Resistance θjbnd |
|
Pj: The heat quantity[W] of the selected body attribute Tjmax: The maximum temperature [deg] of the selected body attribute Tbnd: The average temperature [deg] of the selected boundary condition |









