ホーム / 例題集 / 圧電解析[Rayleigh] / 例題20 片持ち梁の共振周波数

片持ち梁の共振周波数を調べ、梁の理論から求めた値と比較します。
圧電性の無い材質を使っています。
項目 |
条件 |
ソルバ |
圧電解析[Rayleigh] |
解析空間 |
2次元 |
奥行き方向の厚み |
1[mm] |
解析の種類 |
共振解析 |
単位 |
mm |
解析平面 |
2次元断面 |
拘束する変数 |
チェック有 電位、Y方向変位 チェック無 X方向変位、Z方向変位
|
解析オプション |
チェックなし |
左端を固定します。

ボディ No./ボディタイプ |
ボディ属性名 |
材料名 |
0/Solid |
ボディ属性_001 |
材料定数_001 |
材料名 |
タブ |
|
材料定数_001 |
圧電定数 |
圧電性:なし 等方性:等方 ヤング率:1x1010[Pa] ポアソン比:0.0 |
境界条件名/トポロジ |
タブ |
境界条件の種類 |
条件 |
fix/Face |
機械 |
変位 |
UX,UY,UZ全てチェック UX=0, UY=0, UZ=0 |
Femtetで求めた共振周波数と、梁の理論から求めた共振周波数を比較しました。


理論値との差は、次式で求めています。
理論値との差 = (共振周波数/梁の理論値) - 1.0
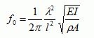
梁の理論値は、次式で求めています。

f0:共振周波数[Hz]
E:ヤング率[Pa]
I:断面二次モーメント(=(奥行きx(縦^3))/12)[m4]
ρ:密度[kg/m3]
A:断面積[m2]
l:横[m]
λ=1.8751