ホーム / 例題集 / 圧電解析[Rayleigh] / 例題29 コリオリ力の確認

コリオリ力の影響を理論値と比較し、確認する。
圧電性なしの解析になります。
項目 |
条件 |
ソルバ |
圧電解析[Galileo] |
解析空間 |
3次元 |
解析の種類 |
調和解析 |
単位 |
mm |
拘束する変数 |
電位にチェック |
解析オプション |
加速度にチェック 角速度にチェックあり(モデル rotation の場合) 角速度にチェックなし(モデル no_rotation の場合) |
加速度タブの設定を以下のように行っています。
タブ設定 |
設定項目 |
条件 |
加速度 |
加速度 |
X=Z=0.0、Y=2.e5[m/s2] |
角速度(※) |
角速度 |
X=Y=0.0、Z=1000[rad/s] |
(※)加速度タブの設定は rotation モデルのみです。
球形のソリッドボディを定義しました。

ボディ No./ボディタイプ |
ボディ属性名 |
材料名 |
0/Solid |
ボディ属性_001 |
008_銅Cu※ |
※材料データベースを利用
なし
解析して得られた、結果フィールドの変形図を示します。
下の図は変位図を実スケールで書いています。実スケールの設定は、変位図の説明ページをご覧ください。
点線は、球の軌跡になりますが、これはわかり易いように後で追加した線です。Femtet内で書くことはできません。

図1.コンター図(変位/大きさ)+変位図(実スケール)
まず回転なし場合を考えます。Y成分の加速度を与えましたので、Y軸方向の振動が得られます。
それは、図1下図の軌跡でも確認できます。結果として得られた、変位y成分の時間変化のグラフが
図2です。横軸が位相になっていますが、位相360度が1周期に相当しますので、今1[KHz]で解析
していることを考えると、360度が1[ms]になります。グラフは、球ボディの中央の変位を取得しています。
図2より回転無し(no_rotation)の最大点においたマーカーM02の値より、5.066[mm]の値が読み取れます。
これは、理論式(下記、付録より)から得られた変位の振幅5.066[mm]と一致しています。
次に回転有りの場合を考えます。コリオリ力により、X方向の変位も生じていますので、図1上図のように
楕円の軌跡が得られます。また変位振幅は、図2よりY成分、図3からX成分の値を、マーカーの読み
取りで取得可能です。
振幅y成分:5.637[mm]
振幅x成分:1.794[mm]
このページの最後の付録で示した理論値とよく一致していることがわかります。

図2.変位y成分の時間変化。 図3.変位x成分の時間変化
■回転の無い場合

解析の入力値より、加速度y成分(αy)、角速度(ω)が次のようになります。
αy = 2.e5[m/s2 ]
ω = 2π1000[rad/s] (駆動周波数 1[KHz])
これらを (4)式に代入し、変位y成分(u0y)が次のように得られました。
u0y=-5.066e-3[m]
■回転のある場合
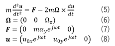
回転のある場合に、コリオリ力を含めた運動方程式は(5)式のようになります。

入力した角速度はz成分のみなので、(6)式のように書けます。
(5)式に(6),(7),(8)式を入力すると、次の式が得られます。

最終的に得られた変位のx成分、y成分は次のように得られます。

回転の角速度:Ωz=1000[rad/s]
変位x成分:u0x= j 1.794e-3[m]
変位y成分:u0y= -5.637e-3[m]
以上