ホーム / 例題集 / 応力解析[Galileo] / 例題53 三角分布荷重を受ける単純支持梁

材料力学の教科書で扱われる、単純支持した梁に三角形状に分布した圧力をかけてたわませる解析事例です。
分布を持つ境界条件を設定します。設定方法は、分布を持つ境界条件、ボディ属性の設定を参照してください。
変形の状態や変位分布、応力分布を解析結果として見ることができます。
表に記載されていない条件はデフォルトの条件を使用します。
Femtetのバージョンや環境により結果が多少ことなります。
項目 |
条件 |
解析空間 |
3次元 |
モデル単位 |
mm |
解析条件はデフォルトの条件を使用します。
項目 |
条件 |
ソルバ |
応力解析[Galileo] |
解析の種類 |
静解析 |
解析オプション |
なし |
直方体のソリッドボディを定義し、材料としてポリカーボネートを設定して梁部分を定義しています。
境界条件として上面の面トポロジに分布荷重、下面の両端の辺トポロジにZ方向の変位固定条件を適用しています。

ボディ No./ボディタイプ |
ボディ属性名 |
材料名 |
0/Solid |
BEAM |
002_ポリカ-ボネート(PC)※ |
※材料データベースを利用
圧力は、以下に示すイメージ図のように、片側から反対側へ向かうにつれて、大きくなるような圧力とします。
分布取込のオプションを使用し、x = 0 のとき、圧力ゼロ、x = 50 [mm]のとき、圧力を1 [MPa] となるように設定します。

境界条件名/トポロジ |
タブ |
境界条件の種類 |
条件 |
FIX/Face |
機械 |
変位 |
Z成分のチェックボックスをオン |
LOAD/Face |
機械 |
圧力 |
分布取込のチェックボックスをオン
座標-圧力リスト
|
分布が想定通りに与えられているか確認する場合、メッシュ生成のみ実行を行い、解析結果の表示を行ってください。
フィールドタイプとして、「分布圧力[Pa]」を選択することにより、設定された圧力分布を確認することができます。
(通常の解析を行った後も、解析タイプとしてメッシュを選択すれば確認ことが出来ます)
左側のエッジから右側のエッジまで、0から1 [MPa]に変化していることが確認できています。

変位z成分のコンター図を示します。
裏面の分布が見えるように、視点を変更しています。また、変位の最小値を表示しています。

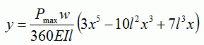
変位の最小値:27.584 [mm]( x = 26 [mm] )となっています。
これは、材料力学の公式

から得られる値: 27.297 [mm]( x = 25.967 [mm] )
とほぼ一致しています。
ここで、
y:変位量、l,w,h :梁の寸法、Pmax:モデル右端の圧力最大値、x:座標、E:ヤング率、I:断面二次モーメント
直方体では、断面二次モーメントIは以下の式で与えられます。

次に、X垂直応力のコンター図を示します。
裏面の分布が見えるように、視点を変更しています。また、応力の最大値を表示しています。

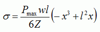
応力の最大値:241.087 [MPa]( x = 28.938 [mm] )となっています。
これは、材料力学の公式

から得られる値: 240.563 [MPa]( x = 28.867 [mm] )
とほぼ一致しています。
ここで、
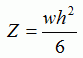
σ:応力、l,w,h :梁の寸法、Pmax:モデル右端の圧力最大値、x:座標、Z:断面係数
直方体では、断面係数Zは以下の式で与えられます。
