ホーム / 例題集 / 音波解析[Mach] / 例題1 円盤の放射インピーダンス計算

空気中に配置された円盤形状の振動体によって発生した音波の音波解析を行います。
各周波数における音波のパワーおよび放射インピーダンス、または円盤から空気中に音波が放射されていく様子
を解析結果として出力します。
表に記載されていない条件はデフォルトの条件を使用します。
Femtetのバージョンや環境により結果が多少ことなります。
項目 |
条件 |
解析空間 |
3次元 |
モデル単位 |
m |
項目 |
条件 |
ソルバ |
音波解析[Mach] |
解析の種類 |
調和解析 |
解析オプション |
選択なし |
調和解析タブにおいて周波数、間隔、スイープの設定を以下のように設定しています。
また解析領域の外部にも音波が放射していきますので開放境界の条件として以下の
デフォルト条件を使用します。
タブ設定 |
設定項目 |
条件 |
調和解析
|
周波数 |
最小:200[Hz] 最大:3000[Hz] |
間隔 |
等間隔をチェック 分割数:20 |
|
周波数スイープ |
逐次スイープ | |
開放境界タブ |
種類 |
吸収境界 |
吸収境界の次元 |
1次 |
|
原点座標 |
x = y = z = 0 |
半球形状ソリッドボディで空気を定義し、半球面表面に開放境界条件を
適用しています。また、円形のシートボディ(転写用ボディ)を定義し、
速度境界条件を適用しています。

半球形状のソリッドボディを作成し、材料としては空気を設定しています。
また、速度境界条件を適用する円形の面トポロジは円形のシートボディを
作成したあと、面分割コマンドを使用して作成しています。
ボディ No./ボディ タイプ |
ボディ属性名 |
材料名 |
0/Solid |
Air |
000_空気※ |
※材料データベースを利用
速度境界条件は転写用ボディ上のFaceに設定します。
境界条件名/トポロジ |
タブ |
境界条件の種類 |
条件 |
Open/Face |
音波 |
開放境界 |
|
V0/Face |
音波 |
速度 |
1[m/s] |
各周波数におけるパワーは、[解析結果]タブの、

[テーブル]
で表示できます。
例として、放射インピーダンスを表示しています。この状態でテーブルの下部にある”グラフ”ボタンを押して、グラフ表示も可能です。
その他の結果は、テーブルのタブを切り替えて表示することができます。

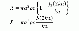
得られた結果を、理論値と比較し、Femtetの結果と一致していることを確認しました。なお、理論値の計算とグラフ描画にはEXCELを用いています。

理論値は、以下の式で計算しています。(*)

R:放射インピーダンスの実部、X:放射インピーダンスの虚部、
a:駆動部の半径、ρ:空気の密度、c:音速、k:波数(=2π/波長)、
J1(z):1次ベッセル関数
S(z):シュトルーベ関数
駆動周波数200[Hz]での音圧分布のグラデーションカラーコンター図を示します。

駆動周波数900[Hz]での音圧分布のグラデーションカラーコンター図を示します。

駆動周波数2020[Hz]での音圧分布のグラデーションカラーコンター図を示します。

駆動周波数3000[Hz]での音圧分布のグラデーションカラーコンター図を示します。

駆動周波数が高くなるにつれ、音圧の分布が変化していく様子が分かります。
(*)Rayleigh(人名)によって導かれた理論式で、参考資料より引用した。
参考文献:機械音響学 安田仁彦著 コロナ社