ホーム / テクニカルノート / 応力解析 / 非線形材料の解析 / 弾塑性マルチリニア材料
弾塑性マルチリニア材料
(注)弾塑性解析は特別オプション機能です。
弾塑性マルチリニア材料では、降伏状態の応力とひずみの関係を多直線で設定することができます。

上図では降伏状態の応力とひずみの関係を3つの直線で表現しています。
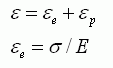
左はトータルひずみと応力の関係、右は塑性ひずみと応力の関係を示しており、両者は以下の式で関連づけられてます。

ただし、
![]() |
トータルひずみ
弾性ひずみ 塑性ひずみ 応力 ヤング率 |
すなわち、以下の関係が成立します。
・トータルひずみ=弾性ひずみ+塑性ひずみ ※初期ひずみ、クリープひずみはゼロとしています。
・弾性ひずみ=応力/ヤング率
トータルひずみ-応力関係が分かっている場合は以下の関係から塑性ひずみ-応力の関係を算出することができます。

Femtetでは弾塑性マルチリニア材料を二種類の入力形式で定義することができます。
①塑性ひずみ-応力
ヤング率、ポアソン比、塑性ひずみ-応力多直線で定義します。
塑性ひずみ-応力多直線を設定する場合には以下の点に注意してください。
・塑性ひずみの最小値は必ずゼロとし、対応する応力値は初期降伏応力を設定する。
・塑性ひずみと応力の関係が単調増加となるように設定する。
・多直線の本数は特に制限なし。
・温度依存がある場合は、ヤング率とポアソン比の温度依存を定義した全温度ポイントに対して
塑性ひずみ-応力多直線を設定する。(各温度で多直線の本数を一致させる必要はなし)
②トータルひずみ-応力
ポアソン比、トータルひずみ-応力多直線で定義します。
トータルひずみ-応力多直線を設定する場合には以下の点に注意してください。
・トータルひずみの最小値(一つ目のデータ)は必ずゼロとする。
・応力は最小値(一つ目のデータ)はゼロとし、二つ目のデータに初期降伏応力を設定する。
・ひずみと応力の関係が単調増加となるように設定する。
・多直線の本数は特に制限なし。
・温度依存がある場合は、ポアソン比の温度依存を定義した全温度ポイントに対して
トータルひずみ-応力多直線を設定する。(各温度で多直線の本数を一致させる必要はなし)



