ホーム / テクニカルノート / 磁場解析 / 磁場過渡解析で求解している微分方程式
磁場過渡解析で求解している微分方程式

H : 磁界
Ee: 誘導電界
B : 磁束密度
J0: 強制的に与えられた電流密度(コイル電流密度)
Je: 渦電流密度
μ: 透磁率
σ: 導電率
磁場過渡解析(Luvens過渡解析)においては、与えられた強制電流密度J0と磁石残留磁化M0および境界条件を前提として、上記(1b')(2a)(5b)(3)(6)を満たす磁界H、磁束密度B、誘導電界Ee、渦電流密度Jeが求められます。
上記(1b')(2a)(5b)(3)(6)式の内容は下記の通りです。
(1b')式 : アンペールの法則 (※1)
(2a)式 : 磁束保存の法則
(5b)式 : ファラデーの電磁誘導の法則 (※2)
(3)式 : 透磁率μの構成材料の中で成立する磁束密度Bと磁界Hの関係式
(6)式 : 導電率σの構成材料の中で成立するオームの法則
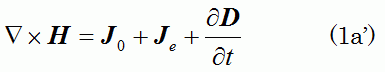
※ (1b')式について
(1b')式はアンペールの法則ですが、厳密には下記のアンペール=マックスウェルの式(1a')が成立します。

H : 磁界
J0: 強制的に与えられた電流密度(コイル電流密度)
Je: 渦電流密度
D : 電束密度
渦電流を扱う準静解析においては変位電流項∂D /∂tによる寄与は無視できるため、(1b’)式が成立します。
なお、∂D /∂tの項を無視できない、すなわち電磁波の放射を無視できない高周波の解析については電磁場解析(Hertz)をお使いください。
求解する支配方程式
実際にはLuvensソルバは(1b')(2a)(5b)(3)(6)式を直接解いているわけではありません。
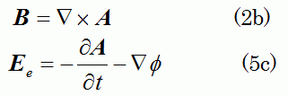
まず、下記(2b)(5c)式のように電磁ポテンシャル(A ,φ)を用いて磁束密度B と誘導電界Ee を表現します。

B : 磁束密度
Ee: 誘導電界
A : 磁気ベクトルポテンシャル
φ: 電気スカラーポテンシャル
(2b)(5c)式のように電磁ポテンシャルを導入すると、(2a)(5b)式は自動的に満たされます。
そこで、(1b’)式を磁気ベクトルポテンシャルA および電気スカラーポテンシャルφを用いて書き換えることになります。
(2b)(5c)(3)(6)式を(1b’)に代入して得られる下記(7)式およびこの両辺に[∇・]を施した(8)式が電磁ポテンシャル(A , φ)が満たすべき支配方程式になります。

A : 磁気ベクトルポテンシャル
φ: 電気スカラーポテンシャル
J0: 強制的に与えられた電流密度(コイル電流密度)
μ: 透磁率
σ: 導電率
Luvensソルバは(7)(8)式を解くことで磁気ベクトルポテンシャルA と電気スカラーポテンシャルφおよび透磁率μの空間分布を求めます。
得られたA から、(2b)式を用いて磁束密度B の空間分布を求め、さらに得られた磁束密度B と透磁率μを(3)式に代入することで磁界H を求めています。
なお、解析空間に導体が存在しない場合は、恒等的にσ=0なので、(8)式は消え、(7)式でσ=0とした(7’)式になります。

支配方程式である(7)(8)式あるいは(7’)式を与えられた境界条件の下で解きますが、主な境界条件の取扱いは下記の通りです。
電気壁境界面 : 磁束密度B が境界面と平行になる。
磁気壁境界面 : 磁束密度B が境界面に対して直交する。
周期境界面 : 一周期性あるいは半周期性(反周期性)の周期境界条件で接合される境界面。
周期境界面は互いに接合するため、2つの周期境界面が1セットで設定される。
< 補足① >
コイル電流密度J0 の空間分布は、コイル電流設定値から静電場モデルで近似して決定し、それを(7)式あるいは(7’)式の右辺として与えています。
< 補足② >
コイル電流密度J0 に関しては、電流保存則∇・J0 =0が「解が存在する必要条件」になっています。
Luvensソルバでは、Gaussソルバにある「ヌルベクトル処理」機能はついていませんので、コイル端部は解析空間境界面上に設定する必要があります。
解析空間内部にコイル端部が存在すると、局所的にコイル電流の発生・消滅が起こり、電流保存則を満足しないためです。
なお、コイルがループコイルとして解析空間の内側に存在する場合は、解析空間の内側にコイル端部は存在しませんので、この注意事項は適用対象外になります。
< 補足③ >
構成材料の中に磁石が含まれる場合、磁石の中においては(7)式の代わりに下記(7')式が使用されます。

またその結果として、磁石の中の支配方程式としては(3)式の代わりに下記(3')式が使用されます。

μm : 磁石のリコイル透磁率(真空透磁率との比は通常1.03~1.05程度)
M0 : 磁石の残留磁化(磁界H = 0のときの磁石磁化)


