均質化法
電磁鋼板を積層した磁性体を含む磁界解析では、積層構造を考慮した解析が必要になります。
積層構造をそのまま忠実にメッシュ分割すると、電磁鋼板の厚みは0.2mm~0.5mm程度なので、解析空間を構成するメッシュの要素数が膨大になり、膨大な解析時間を要することになります。
このため、少ない要素数で解析するために均質化法を用います。
均質化法では、積層構造の周期性を利用して微細構造を均質化したマクロモデルで構成し、磁性体の透磁率および導電率を、積層構造を考慮したマクロモデルのものに置き換えます。
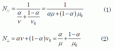
積層面内方向(積層方向に垂直な面内方向)の磁気抵抗率をN// とし、積層方向の磁気抵抗率をN⊥ とし、電磁鋼板の占積率をα(0<α<1)とします。
ここで、磁気抵抗率とは、透磁率の逆数です。αは通常1よりわずかに小さな値を持ちます。
積層面内方向の磁気回路は電磁鋼板と絶縁層の並列回路とみなせ、積層方向の磁気回路は電磁鋼板と絶縁層の直列回路とみなせます。
このため、積層面内方向の磁気抵抗率N// および積層方向の磁気抵抗率N⊥ は、それぞれ、次のように表わせます。

N// :均質化したマクロモデルの積層面内方向の磁気抵抗率
N⊥ :均質化したマクロモデルの積層方向の磁気抵抗率
ν:電磁鋼板の磁気抵抗率 
ν0:絶縁層の磁気抵抗率(真空の磁気抵抗率)

α:電磁鋼板の占積率
電磁鋼板の占積率αが1に近い値のとき、N// 、 N⊥ 、νのおおよその大きさの関係は、

と書けます。例えば、典型的な数値としてα=0.97、μr=1000としたとき、
となります。
また、積層面内方向の導電率Σ//および積層方向の導電率Σ⊥は、

とします。
積層方向には渦電流は流れないとし、積層面内方向には電磁鋼板の表面に絶縁層が存在するため断面積が減り、その分、等価的に導電率がα倍低下するというモデルです。
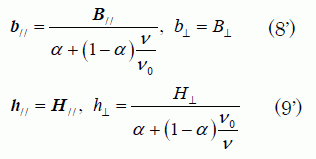
磁界の接線成分ならびに磁束密度の法線成分の連続条件により、

の関係があり、また、マクロモデルにおける磁界Hと磁束密度Bには、

の関係があります。
電磁鋼板内において
の関係を考慮すると、(6)(7)式より、次の関係式が得られます。

b// :電磁鋼板の積層面内方向の磁束密度
b⊥ :電磁鋼板の積層方向の磁束密度成分
h// :電磁鋼板の積層面内方向の磁界
h⊥ :電磁鋼板の積層方向の磁界成分
B// :マクロモデルの積層面内方向の磁束密度
B⊥ :マクロモデルの積層方向の磁束密度成分
H// :マクロモデルの積層面内方向の磁界
H⊥ :マクロモデルの積層方向の磁界成分
(1)(2)(7)(8)式より、結局、電磁鋼板内の磁場b はマクロモデルで求めた磁場B から

より求めることができます。
磁場解析では、均質化法を設定した積層構造体に関してはマクロモデルにおける磁束密度Bおよび磁界Hを求め、その後、(8’)(9’)式を用いて電磁鋼板内の磁束密度b =(b// , b⊥ )および磁界h =(h// , h⊥ )を求めます。
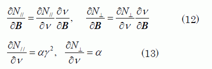
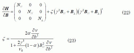
磁場解析における非線形解析では、一般的に広く利用されているニュートン・ラフソン法で高速に非線形収束解を求めるために、微分磁気抵抗率テンソル
が必要になります。
通常の磁場解析では、

となります。
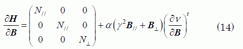
これに対して、均質化法によるマクロモデルでは、積層方向成分を第3成分で表現すると、積層構造による異方性により、

となります。
N// :均質化したマクロモデルの積層面内方向の磁気抵抗率
N⊥ :均質化したマクロモデルの積層方向の磁気抵抗率
B// :マクロモデルの積層面内方向の磁束密度
B⊥ :マクロモデルの積層方向の磁束密度
(11)式で、右辺第2項目と第3項目に記した上添字「t」は転置ベクトルを意味します。
ここに示したベクトルは3次元空間において、すべて3×1の行列と見なせますが、転置ベクトルは1×3の行列を意味します。
ここで、

と書けますので、(11)式は

と書けます。
電磁鋼板の透磁率は、電磁鋼板内の磁束密度bの符号には依存しません。
このため、電磁鋼板の透磁率はb の関数ですが、さらに踏み込んでb2 の関数と言えます。
従いまして、透磁率の逆数である電磁鋼板の磁気抵抗率ν もb2の関数と言えます。
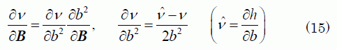
そこで、(14)式の右辺第二項目の
は、νがb2の関数であることを考慮して、

(8)式より、

となりますので、

と書けます。
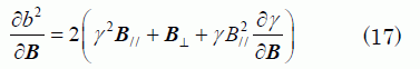
ここで、右辺の
は次のようになります。

(8)式の三番目のγに関する式より、

(17)(18)(19)式より、

となります。
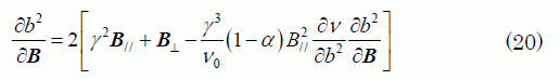
両辺の
をまとめると、

が得られます。
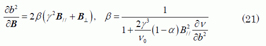
(14)(15)(21)式より、

となります。
なお、ここで示した均質化法では、(4)(5)式を用いているため、積層方向とは垂直な面内で発生する渦電流(積層方向磁束で発生)は解析できますが、電磁鋼板の積層方向の厚み(0.2mm~0.5mm程度)面内に発生する微弱な渦電流(積層方向とは垂直方向の磁束で発生)は解析できません。


