ホーム / テクニカルノート / 音波解析 / 音波解析で求解している微分方程式
音波解析で求解している微分方程式



ρ: 媒質密度
v : 媒質粒子速度
p : 音圧
k : 媒質における密度変化と圧力変化の間の比例係数
Machソルバは、与えられた境界条件を前提として上記(1)(2)(3)式を満たす音圧p,媒質粒子速度vを求めます。
音圧p,媒質粒子速度vは角振動数ωで調和振動しているものとして求解します。
(1)(2)(3)式の内容は下記の通りです。
(1)式 : 媒質粒子に関するニュートンの運動方程式
(2)式 : 連続の式(質量保存則)
(3)式 : 媒質における密度変化と圧力変化の関係式
求解する支配方程式
Machソルバは(1)(2)(3)式を直接解いているわけではありません。
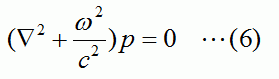
Machソルバが求解しているのは、下記のヘルムホルツ方程式(6)です。
※ (1)(2)(3)式からヘルムホルツ方程式(6)を導く過程については次項に記します。


ω: 角振動数
c : 音速
p : 音圧
k : 媒質における密度変化と圧力変化の間の比例係数
ヘルムホルツ方程式(6)を解くことで求められた音圧pを下記の関係式(7)に代入することで、粒子速度vを求めます。
下記の関係式(7)は、(1)式のフェーザ表示です。

v : 粒子速度
j : 虚数単位
ω: 角振動数
ρ: 媒質密度
p : 音圧
Machソルバは与えられた境界条件が満たされるように、ヘルムホルツ方程式(6)を求解しますが、代表的な境界条件の扱いは下記の通りです。
圧力指定境界 : 音圧pの振幅と位相を指定値に設定します。
速度指定境界 : 粒子速度v ( -(j/ωρ)∇p ) の振幅と位相を指定値に設定します。
ヘルムホルツ方程式(6)および関係式(7)の導出
(1)(2)(3)式を変形して、Machソルバが求解しているヘルムホルツ方程式(6)を導く過程を記します。
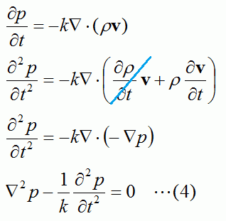
(3)式右辺のdρ/dtに(2)式を代入して得られる式を出発点として、下記のように変形を進めます。

式変形2行目では、ρの変化率がvの変化率に対して無視できるとして近似を行っています。
式変形2行目から3行目では、(1)式の代入を行っています。
最終的に、支配方程式となる音圧に関する波動方程式(4)が得られます。
前出の(5)式のとおりにkの平方根をcとした上で、音圧pが角振動数ωで調和振動しているという前提のもとで波動方程式(4)をフェーザ表示すると、ヘルムホルツ方程式(6)が得られます。
損失のある媒質
音速cとして複素数を設定いただくと、損失のある媒質での音波解析が実行されます。
その理論的背景について説明します。
損失のある媒質においては、媒質粒子に関するニュートンの運動方程式が(1)ではなく(1')となります。

ρ: 媒質密度
v : 媒質粒子速度
p : 音圧
β: 粘性による減衰の係数
(1)式の代わりに(1')式を使って、音圧pに関する波動方程式を導くと、下記(4')式が得られます。

ここで音速cを下記(5')式で定義して(4')をフェーザ表示すると、Machソルバが求解するヘルムホルツ方程式(6)となります。

c : 音速
k : 媒質における密度変化と圧力変化の間の比例係数
j : 虚数単位
β: 粘性による減衰の係数
ω: 角振動数
ρ: 溶媒の密度
したがって、音速cとして複素数を設定すると、(5')式における虚部を発生させる減衰の係数βを設定したことになるため、減衰のある媒質での音波解析となります。


