応力の種類
1.応力の種類
応力解析、圧電解析で使用される応力の種類について、以下に示します。
|
分類 |
解説 |
|
応力 |
単位面積当たりに発生している力。 弾性ひずみに弾性定数をかけた値。 応力算出例:等方性材料の垂直応力 応力=ヤング率 x 弾性ひずみ 異方性材料の応力算出方法は、テクニカルノートの異方性弾性定数行列を参照 |
2.解析結果のフィールド値
解析結果のフィールド値の出力について示します。テンソル値になります。
|
分類 |
フィールド値として 適用される条件 |
|
応力 |
3.垂直応力とせん断応力
応力を表現する方法として、以下の2つの方法があります。
①垂直応力とせん断応力による表現
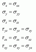
垂直応力3成分σx、σy、σz、せん断応力3成分τyz、τzx、τxyで表現されます。
xz面内の正方形の応力を例に示します。
|
|
イメージ図 |
応力の定義 |
|
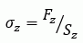
垂直応力 (+:引張応力、-:圧縮応力) |
|
Z垂直応力
|
|
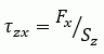
せん断応力 (+、-:変形の方向を表す) |
|
ZXせん断応力
|
Fx:x方向の力、Fz:z方向の力、Sz:z方向に垂直な面の断面積
②応力テンソルによる表現
応力テンソルσxx、σxy、σxz、σyx、σyy、σyz、σzx、σzy、σzzと①との関係は以下で表されます。

応力テンソルは9成分のテンソルで表現でき、以下のように表されます。

内部の計算は応力テンソルで行われますが、フィールド値の出力は垂直応力とせん断応力による表現で行われます。
4.主応力
応力テンソルの各成分の大きさは座標に依存します。以下では座標を変換した場合の応力テンソルについて考えます。

以下のような(x, y, z)から(x', y', z')への座標変換を考えます。

[T] : 座標の変換行列
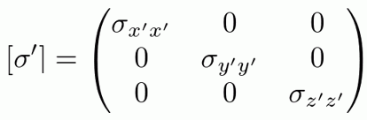
座標変換により変換後の応力テンソル[σ']は以下のように表されます。

この式から座標変換により、応力テンソルの成分の値が変化することが理解できます。
また、座標の取り方によって応力テンソルの非対角成分をτxy = τxz = τyz = 0 とする変換行列[T]が存在することから、
その場合の応力テンソルは

となります。この対角成分のみの応力テンソル[σ']を主応力といいます。
また、応力テンソルの成分σx'x'、σy'y'、σz'z' の値の大きい順から最大主応力、中間主応力、最小主応力となります。
5.フィールド値の成分
フィールド値で出力される成分について示します。
|
分類 |
表示可能な条件 |
解説 |
|
主応力 |
すべて |
応力テンソルは適当な方向を選ぶ事により、3つの垂直応力(σ1、σ2、σ3)で表すことができます。 |
|
XY面内主応力 |
解析空間:3次元の場合 |
XY面内に発生する応力テンソル成分σxx、σyy、σxyからなる +が引張応力、-が圧縮応力を表します。 |
|
X垂直応力 |
すべて |
X方向、Y方向、Z方向の垂直応力σx、σy、σzを表示します。 |
|
最大主応力 |
すべて |
主応力の3つの垂直応力を、大きさの順に並び替えたとき、それぞれの垂直応力を |
|
XY面内最大主応力 |
解析空間:3次元の場合 |
XY面内に発生する応力テンソル成分σxx、σyy、σxyから求めた二つのXY面内主応力のうち、 |
|
XZ面内最大主応力 |
解析空間:2次元の場合 |
2次元の解析では、3つの垂直応力のうち1つは、奥行き方向(Y方向)になります。 |
|
静水圧 |
すべて |
応力のうち体積変化に寄与する垂直成分の平均値を取ったものです。
σxx、σyy、σzz:応力テンソル垂直成分 σ1:最大主応力、σ2:中間主応力、σ3:最小主応力 |
|
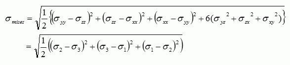
すべて |
ミーゼスの相当応力は、以下の式で計算されます。![]() σxx、σyy、σzz、σyz、σzx、σxy:応力テンソル成分 σ1:最大主応力、σ2:中間主応力、σ3:最小主応力 テンソル量である応力を延性破壊材料の降伏条件に適用する際にミーゼスの相当応力が用いられます。 せん断ひずみエネルギーに比例し、均等に圧力がかかるような変形ではミーゼスの相当応力はゼロになります。 |
|
|
YZせん断応力 |
すべて |
YZ面内、ZX面内、XY面内に発生するせん断応力τyz、τzx、τxy表示します。 |
|
YZせん断応力[絶対値] |
すべて |
YZ面内、ZX面内、XY面内に発生するせん断応力τyz、τzx、τxyの絶対値を表示します。 |
|
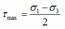
最大せん断応力 |
すべて |
最大せん断応力は以下の式で表されます。
σ1:最大主応力、σ2:中間主応力、σ3:最小主応力 |








