ホーム / ボディ属性、材料、境界条件の設定 / 材料定数タブ一覧 / 粘度タブ
粘度タブ
材料の粘度を設定するタブです。
[材料定数の編集]ダイアログに表示されます。ダイアログの表示方法は「ボディ属性/材料定数の設定方法」を参照してください。
流体解析を行う場合に必要となります。
-
流体解析[Bernoulli]、熱流体解析[Bernoulli/Watt]、で流体の場合(材料定数の「固体/流体タブ」で[流体]と設定されている場合)、このタブの設定が可能になります。
-
乱流解析の場合、ニュートン流体のみ選択可能です。
-
べき乗則、Carreauモデル、せん断速度-粘度テーブル入力は非ニュートン流体の解析機能です。

|
設定項目 |
解説 |
|
ニュートン流体 |
[粘度]
仮数部に入力できる値は0より大きい実数です。
[温度依存性]
なし/あり のいずれかを選択します。 ありの場合、 が開きます。ここにデータを入力して下さい。
グラフボタンをクリックすると入力した非線形曲線のデータがグラフ表示されます。 グラフを描くときは[温度] データ、[粘度] データともに、各々最低2個以上 のデータが必要です。 |
|
べき乗則 |
べき乗則では画像中の数式(Sはせん断速度[/s])により粘性係数を計算します。n=1ではニュートン流体、n>1で水溶き片栗粉などのダイラタント流体、n<1では射出成型時の液状樹脂などの擬塑性流体を示します。 n,Aはパラメータ、μ0はダイラタント流体における下限値、擬塑性流体における上限値です。
|
|
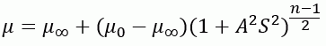
Carreauモデル(擬塑性流体用) |
Carreauモデルでは画像中の数式(Sはせん断速度[/s])により粘性係数を計算します。 せん断ひずみ速度S→0でμ0、S→∞でμ∞となり、それぞれ粘度の上限値、下限値を示します。n,Aはパラメータで、n=1のときニュートン流体となります。
|
|
せん断速度-粘度テーブル入力 |
・せん断速度-粘度テーブル入力~カーブフィット
回転粘度計(レオメータ)などでの測定データを入力しカーブフィットボタンを押すことでべき乗則、Carreauモデルへのパラメータフィッティングができます。デフォルトでは対数でフィッティングします。
・カーブフィット結果~結果の反映
カーブフィットの結果がウィンドウに表示されます。 「べき乗則結果反映」ボタン:カーブフィット結果を 粘度モデル/べき乗則 のパラメータに自動反映します。 「Carreau結果反映」ボタン:カーブフィット結果を 粘度モデル/Carreauモデル のパラメータに自動反映します。 「再計算」ボタン:「べき乗則係数の初期値」、「Carreauモデル係数の初期値」欄の各係数の初期値を設定して再計算できます。
初期値を適切に設定して再計算することでカーブフィットの精度を上げることができます。残差ノルムが小さくなるように各係数の初期値を設定してください。 また、
|




をクリックすると




