ホーム / 例題集 / 応力解析[Galileo] / 例題72 シェル要素を用いた梁の曲げ解析
例題72 シェル要素を用いた梁の曲げ解析
本例題について
-
表に記載されていない条件は初期設定の条件を使用します。
-
プロジェクトファイルを取得(右クリックし、名前を付けてリンク先を保存してください。)
-
Femtetのバージョンや環境により結果が多少ことなります。
解析条件
|
項目 |
条件 |
|
応力解析[Galileo] |
|
|
解析空間 |
3次元 |
|
解析の種類 |
|
|
単位 |
mm |
|
解析オプション |
「シェル自由度の拘束条件を使用」にチェック
|
モデル図
薄い梁をシェル要素でモデル化しているため、シートの寸法 10 x 1 mm に対し、ボディ属性「Beam」の「シートボディの厚み」を 0.1 mm としています。

ボディ属性および材料の設定
|
ボディ No./ボディタイプ |
ボディ属性名 |
材料名 |
|
0/Sheet |
Beam |
材料定数_001※ |
※理論解との比較のため、ヤング率 200 GPa, ポアソン比 0 の特殊な材料定数を設定しています。
境界条件
|
境界条件名/トポロジ |
タブ |
境界条件の種類 |
条件 |
|
Fix/Edge |
機械 |
変位 |
UX, UY, UZ 成分の チェックボックスをオン UX=0, UY=0, UZ=0
RX, RY, RZ 成分の チェックボックスをオフ |
|
Fix_Z/Edge |
機械 |
変位 |
UZ 成分のチェック ボックスをオン、UZ=0
それ以外の チェックボックスをオフ |
|
Tributary_Moment/Edge |
機械 |
分布荷重(面) |
トータル荷重で入力する のチェックボックスをオン MX=0.001 |
解析結果
変形図と Z 変位のコンター図を示します。

理論解との比較
以下の梁の曲げモーメント荷重の問題の理論解と比較します。
解析モデルを再現した理論モデルを以下に示します。

以下の表は理論解の導出に用いる理論モデルの各変数の値です。
各変数の値は、プロジェクトファイルのモデル寸法、境界条件、
ボディ属性、材料定数等の値と一致するようにしています。
| 項目 | 記号 | 数値 | 単位 |
| モーメント荷重 | M | 0.001 | N·m |
| ヤング率 | E | 2e+11 | Pa |
| ポアソン比 | ν | 0 | - |
| 梁の長さ | L | 0.01 | m |
| 梁の幅 | b | 0.001 | m |
| 梁の厚み | h | 0.0001 | m |
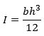
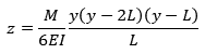
このときの曲げ荷重がかかる向きの断面二次モーメントを求める式と
位置 y に対するたわみ変位 z を求める式を示します。
ただし、重力は考慮しません。


この式から計算した結果と、例題72の解析結果を比較した結果を以下に示します。




