ホーム / テクニカルノート / 流体解析/熱流体解析 / 流体解析/熱流体解析で求解している微分方程式
流体解析/熱流体解析で求解している微分方程式
1. 層流解析
1.1 流速、圧力、温度、拡散
層流解析では、非圧縮性流れを仮定することにより得られる、ナビエ・ストークス方程式と連続の式を同時に満たす
流速と圧力を解きます。
熱流体解析(流体-熱連成解析)では、求めた流速を用いて熱エネルギー輸送方程式を満たす温度を求めます。
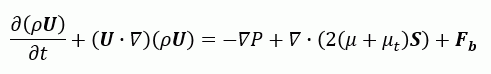
ナビエ・ストークス方程式

左辺第1項は加速度項、左辺第2項は移流項、
右辺第1項は圧力勾配項、右辺第2項は、粘性拡散項、右辺第3項は外力項を示します。
定常解析では、時間変化がないため、左辺第1項はゼロとなります。
外力は、浮力を考慮する場合の浮力、VOF法における浮力、表面張力が該当します。
圧力は重力の影響を排除した補正圧力となります。詳しくは、「流体解析の圧力」を参照してください。
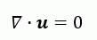
連続の式

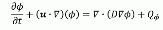
熱エネルギー輸送方程式

左辺第1項は蓄熱項、左辺第2項は移流項、
右辺第1項は熱伝導拡散項、右辺第2項は、発熱項を示します。
定常解析では、時間変化がないため、左辺第1項はゼロとなります。
スカラー輸送方程式

拡散解析を行う場合に使用されます。
左辺第1項は時間変化項、左辺第2項は移流項、
右辺第1項は拡散項、右辺第2項はソース項を示します。
定常解析では、時間変化がないため、左辺第1項はゼロとなります。
各変数に関する説明を以下に示します。

材料定数に関する説明を以下に示します。
自由表面解析の場合は、密度、粘度、比熱、熱伝導率は、相の体積分率で平均化された値を使用します。(3.1参照)

2. 乱流解析
乱流解析では以下の二つの考え方に基づいた、レイノルズ平均ナビエ・ストークス方程式、レイノルズ平均連続の式、レイノルズ平均熱エネルギー輸送方程式を満たす流速、圧力、温度を求めます。
求められる流速、圧力、温度は平均化された量になります。
レイノルズ平均
流速や圧力、温度といった変数を平均成分と変動成分に分離し、ナビエ・ストークス方程式、連続の式、熱エネルギー輸送方程式を変形します。
ナビエ・ストークス方程式、熱エネルギー輸送方程式にレイノルズ平均処理を行うと、変動成分に起因する応力(レイノルズ応力)や熱流束が現れます。
渦粘性モデル
渦粘性モデルでは、変動成分に起因する応力(レイノルズ応力)は、ひずみ速度と渦粘性係数(乱流粘性係数)に比例すると仮定します。
変動成分に起因する熱流束は、温度勾配と乱流熱伝導率に比例すると仮定します。
乱流動粘性係数νt、および乱流熱伝導率λtを算出する方法として、様々なモデルが存在します。
Femtetでは、νtを求めるために、乱流エネルギーKとエネルギー散逸率εの輸送方程式を解く「K-εモデル」、乱流エネルギーKと比散逸率ωの輸送方程式を解く「SST K-ωモデル」を採用しています。
K-εモデルの中でも、いくつかの乱流モデルがありますが、Kやεが負にならない等の実現性(realizability)の制約を課した「Realizable K-εモデル」(*1)を採用しています。
また、K-εモデルでは、壁面近傍の低レイノルズ数領域の流れを正しく表現することができないため、「二層モデル」(*2)という手法を用いて、
壁面近傍領域と完全乱流領域に領域を分離して、異なる計算方法を適用しています。
壁面近傍領域では、「Wolfshteinの1方程式モデル」(*3)、完全乱流領域では「Realizable K-εモデル」で計算しています。
(*1)Tsan-Hsing Shih, William W.Liou, Aamir Shabbir,Zhigang Yang and Jiang Zhu「A New k-ε Eddy Viscosity Model for High Reynolds Number Turbulent Flows」Compiters Fluids Vol.24,No,3,pp.227-238, 1995
(*2)W.Rodi「Experience with Two-Layer Models Combining the k-ε Model with a One-Equation Model Near the Wall」 AIAA paper 1991-p216
(*3)M.Wolfshtein「The Velocity and Temperature Distribution in One-Dimensional Flow with Turbulence Augmentation and Pressure Gradient」 Int.J.Heat Mass Transfer. Vol. 12,pp.301-318
2.1 流速、圧力、温度、拡散
レイノルズ平均ナビエ・ストークス(RANS:Reynolds Averaged Navier Stokes)方程式

レイノルズ平均連続の式

レイノルズ平均熱エネルギー輸送方程式

レイノルズ平均スカラー輸送方程式

各変数に関する説明を以下に示します。

2.2 乱流粘性係数、乱流熱伝導率、乱流拡散係数
乱流動粘性係数νt、乱流熱伝導率λt、および乱流拡散係数Dtを算出する方法として、様々なモデルが存在します。
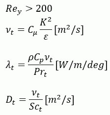
Femtet k-εモデルでは、流体領域を壁面(固体壁)からの距離に応じて、壁面近傍領域と完全乱流領域に分離して計算を行います。
壁面近傍領域では乱流エネルギーKと壁面(固体壁)からの距離に応じて決定します。
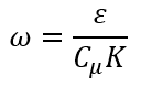
完全乱流領域では乱流エネルギーK、エネルギー散逸率ε、モデル変数Cμに応じて決定します。
k-εモデル
壁面近傍領域

完全乱流領域

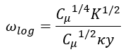
SST k-ωモデル
SST k-ωモデルでは、壁面近傍領域、完全乱流領域でk-εモデルの完全乱流領域と同様の計算を行います。
ただし、乱流動粘性係数νtには渦粘性係数リミッタを適用し、下記の式で計算します。

各変数に関する説明を以下に示します。(SST k-ωモデル関連の変数、定数は2.3節に記載しております。)

各定数の値を以下に示します。

2.3 乱流エネルギーK、エネルギー散逸率ε、比散逸率ω
乱流粘性係数を決定するためには、乱流エネルギーとエネルギー散逸率または比散逸率を算出する必要があります。
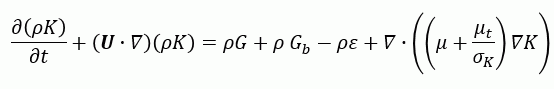
乱流エネルギーKは、輸送方程式を満たすKを算出します。
Realizable k-εモデル
乱流エネルギーK輸送方程式

エネルギー散逸率ε
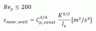
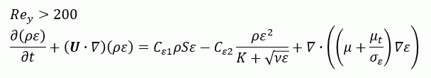
Femtet k-εモデルでは、エネルギー散逸率εは、流体領域を壁面(固体壁)からの距離に応じて、壁面近傍領域と完全乱流領域に分離して計算を行います(二層モデルと呼ばれています)。
壁面近傍領域では、エネルギー散逸率εは、壁面(固体壁)からの距離に応じて決定します。
完全乱流領域では、エネルギー散逸率εは、輸送方程式を満たすεを算出します。
壁面近傍領域のエネルギー散逸率

完全乱流領域(エネルギー散逸率輸送方程式)

各変数に関する説明を以下に示します。
β、βΦに関する詳細は、4.1、4.2に記載しています。

各定数に関する説明を以下に示します。

SST k-ωモデル
乱流エネルギーK輸送方程式
K,ω輸送方程式の生成項には生成リミッタを適用しています。

比散逸率ωとエネルギー散逸率ε
Femtet SST k-ωモデルでは、比散逸率ωは、輸送方程式を満たすωを計算します。
この輸送方程式中の渦粘性係数は渦粘性係数リミッタを適用します。
K、ωを計算後、それらの値を用いてエネルギー散逸率εを計算します。


各変数に関する説明を以下に示します。

各定数に関する説明を以下に示します。
ただし、SST k-ωモデル関連の定数は、混合関数F1を用いて、a=a1F1+a2(1-F1)という形でブレンドされたものを適用します。
F1の値は出力タブ「壁面近傍層」にて確認できます。F1=1でk-ωモデル、F1=0でk-εモデルに遷移します。

2.4 壁面第1層の取り扱い
壁面近傍では、流速の変化が激しいため、それを表現するために、メッシュサイズを細かくする必要があります。
「壁面近傍のメッシュ設定」に示す「壁関数」を用いて、メッシュサイズが細かくなくても、ある程度の精度を保つ処理を行っています。
以下の式を使用して計算をしています。
壁面-壁面第1層間の見かけの動粘性係数

壁面-壁面第1層間の見かけの乱流熱伝導率

壁面-壁面第1層間の見かけの乱流拡散係数

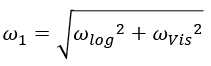
壁面第1層のエネルギー散逸率

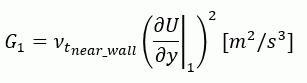
壁面第1層のエネルギー生成率

また、SST k-ωモデルの場合、壁面第一層の比散逸率ωは下記のように計算します。
粘性底層と対数則のハイブリッドによる壁関数を用いています。
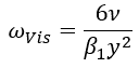
壁面第1層の比散逸率



各変数に関する説明を以下に示します。

各定数に関する説明を以下に示します。

無次元速度、および無次元温度に関しては、「壁面近傍のメッシュ設定」を参照してください。
3. 自由表面解析(VOF法)
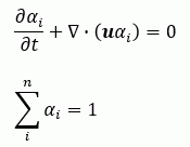
3.1 体積分率
自由表面解析では、1.層流、2.乱流で示した方程式に加えて、以下の式を解いています。
体積分率移流方程式

左辺第1項は時間項、左辺第2項は移流項を示します。
第1相の体積分率は、移流方程式を解かずに第2相以降の体積分率から計算します。
ナビエ・ストークス方程式、熱エネルギー輸送方程式、スカラー輸送方程式で使用される密度、粘度、熱伝導率、比熱は体積分率で平均化された値を使用します。
各変数と定数に関する説明を以下に示します。

4. 外力項
4.1 温度差による浮力
温度差による浮力は以下の式で定義されます。
参照温度θrefは「熱流体解析タブ」で指定した環境温度を使用します。

密度は以下の式で定義されます。

各変数と定数に関する説明を以下に示します。

4.2 拡散物質の濃度差による浮力
拡散物質の濃度差による浮力は以下の式で定義されます。
参照拡散値XDref/CDref/YDref/ρDrefは「拡散解析の設定」で指定した環境値を使用します。

気体の拡散の場合の密度は以下の式で定義されます。
拡散量の種類・単位により異なります。

液体の拡散の場合の密度は以下の式で定義されます。
拡散量の種類・単位により異なります。

各変数と定数に関する説明を以下に示します。

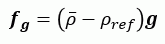
4.3 自由表面解析における浮力
浮力は以下の式で定義されます。
参照密度ρrefは、すべての相の密度の中で最小の密度を使用します。

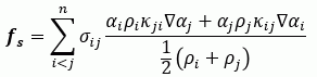
4.4 表面張力
自由表面解析(VOF法)では表面張力を考慮することができます。
表面張力は以下のCSF(Continuous Surface Force)モデルで定義されます。

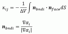
κiはi番目の相で曲率で以下の式で定義されます。

実際の計算では、微小領域の曲率を計算します。
ガウスの発散定理を用いて変換した以下の式を使用して計算されます。

壁面付近では、接触角に応じて曲率は補正されます。
微小領域の曲率を計算する際に、界面法線ベクトルを以下の式により補正します。

各変数と定数に関する説明を以下に示します。




