ホーム / テクニカルノート / 応力解析 / 応力解析における減衰
応力解析における減衰
共振解析・調和解析における減衰
減衰の周波数依存性を考慮しない場合、「弾性定数タブ」で機械的減衰(損失正接 tanδ)を設定します。
減衰比ζが分かっている場合は、後述の(7)式で損失正接tanδに換算して入力することで、共振周波数ωi付近の結果を得ることができます。
レイリー減衰係数α、βが分かっている場合は、後述の(10)式で損失正接tanδに換算して入力することで、共振周波数ωi付近の結果を得ることができます。
減衰の周波数依存性を考慮する場合(調和解析のみ)は、「粘弾性タブ」で複素弾性率の周波数特性を設定します。
過渡解析における減衰
過渡解析では、減衰を扱う方法として、材料定数として「粘弾性タブ」を設定する方法と、
ボディ属性として「レイリー減衰係数タブ」を設定する方法があります。
粘弾性材料については、「粘弾性材料の応力解析」を、レイリー減衰については、「応力過渡解析」を参照してください。
共振解析・調和解析における減衰
「応力解析で求解している微分方程式」で記述した運動方程式を、便宜上、ばね定数k、および、外力fを用いて以下のように表記して説明します。
外力fには、体積力、表面力が含まれます。共振解析の場合、fはゼロになります。

m:質量, u:変位, t:時刻, c:減衰係数, k:ばね定数, f:外力
一定周波数ω振動していることを前提に、(7)式の時間微分を、jωで置き換えると以下のようになります。

ω:周波数, j:虚数単位
kを(3)のような複素数で表記すると、(2)は、(4)のように、cを除去した方程式にすることができます。

k*:複素ばね定数, tanδ:損失正接

(4)式は、損失がない場合と同じ式になりますので、損失がない場合と同じ方法で求解することができます。
ばね定数kは弾性定数に比例しますので、材料定数として、以下の複素弾性率を使用します。
粘弾性材料として減衰の周波数特性を考慮する場合は、(5')の形式で使用します。

D*:複素弾性率, Dre:貯蔵弾性率, Dim:損失弾性率
減衰を減衰比を使って表現した場合との比較
臨界減衰係数ccを定義し、減衰係数cとの比率を減衰比ζとして、cを表現したものが、(6')になります。

cc:臨界減衰係数, ζ:減衰比
臨界減衰係数の物理的な意味は以下の通りです。
減衰係数cが 臨界減衰係数ccを超える(減衰比ζが1以上)と、振動せずに減衰し、
減衰係数cが臨界減衰係数cc以下(減衰比ζが1未満)になると、振動しながら減衰します。
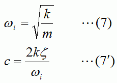
(7)で定義される共振周波数ωiを使って、(6')を表現すると、(7')になります。

ωi:共振周波数
着目する周波数が共振周波数であること(ω = ωi )を仮定して、
(3')、(7')を比較すると、tanδとζの間に、以下の関係が得られます。

減衰比ζが分かっている場合、ζに2を掛けた値を入力することで減衰比を考慮した解析が可能です。
減衰をレイリー減衰係数を使って表現した場合との比較
減衰係数cは、レイリー減衰係数α、βを用いて、以下のように表されます。

着目する周波数が共振周波数である(ω = ωi )ことを仮定して、
(3')、(9)を比較すると、tanδとα、βの間に、以下の関係が得られます。

例として、α=0.1[/s]、β=0.1[s]の場合のtanδの周波数依存性を示します。
αは低周波振動の減衰、βは高周波振動の減衰を表します。



