ホーム / テクニカルノート / 応力解析 / 非線形材料の解析 / クリープ材料の応力解析
クリープ材料の応力解析
(注)クリープ解析は特別オプション機能です。
クリープ則について
Femtetで対応しているクリープ則は、「べき乗則」になります。
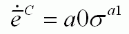
クリープひずみは応力と時間の関数で表現され、べき乗則の場合以下の式で定義されます。

ここでσは応力、tは時間で、a0,a1,a2はクリープ定数となります。
Femtetでの内部処理においては応力としては各要素の積分点におけるミーゼスの相当応力を
、時間としてはステップ/熱荷重タブで設定された時刻情報を用いています。
クリープひずみは塑性ひずみと同様、非弾性ひずみの一つであるため、多くのケースでは時間経過
とともにクリープひずみが増大した場合、その部位において応力緩和現象が見られます。
具体的な事例としては応力解析の例題39「弾塑性クリープ材料の繰り返し熱荷重解析」を参照ください。
硬化則について
上記に示したとおりクリープひずみは応力と時間の関数であるため、応力の変化とともにクリープひずみ
の曲線も変化します。
クリープ理論では応力変化時のクリープの挙動として「時間硬化則」および「ひずみ硬化則」
の二つを挙げています。Femtetでは一般的に実験に一致すると言われている後者の「ひずみ硬化則」
を用いて処理しています。
「ひずみ硬化則」について以下に示します。

上記のように応力が時間とともにステップ的に増加するケースを考えます。
この場合、ひずみ硬化則によるクリープひずみの時間変化は以下のようになります。

時刻t1までの間は応力はσ1ですのでσ1の場合のクリープひずみ曲線に沿ってクリープひずみが増加します。
時刻t1からt2までの間は応力はσ2ですのでσ2の場合のクリープひずみ曲線をもとにクリープひずみが増加します。
時刻t2からt3までの間は応力はσ3ですのでσ3の場合のクリープひずみ曲線をもとにクリープひずみが増加します。
ひずみ硬化則の場合、σ一定の場合のカーブの縦軸のクリープひずみが応力変化時においても連続になるように
曲線を継合わせるような考え方で応力変化を伴う場合のクリープひずみを算出します。
さらにFemtetでは応力反転時のクリープ解析にも「ORNLの修正ひずみ硬化則」に基づく処理を行うことで対応して
います。
参考文献:M.Kojic,K.J.Bathe「Inelastic Analysis of Solids and Structures」 Springer
クリープ定数の設定方法
Femtetではクリープひずみを応力と時間の関数として表現した場合の定数を設定します。
べき乗則の場合は以下の式のa0,a1,a2をGUI上でA0,A1,A2に入力します。

また文献によっては下式のように上式(a2=1)を時間で一階微分したクリープひずみ速度で表現されたケースがあります。

この場合は、a0,a1はGUI上のA0,A1にそのまま入力し、A2は1とします。
また文献によっては、クリープ定数を算出する前提の応力および時間の単位として [Mpa]および[h]を使用している
ケースがあります。その場合、その文献値をクリープタブで設定する場合には、クリープタブの「クリープ定数の単位系」を
「応力[Mpa]、時間[h]」を選択してください。内部で自動的に単位換算をしてクリープ計算処理を行います。

Femtetでクリープ解析が可能な材料設定
Femtetでは以下の範囲の材料でクリープ解析を行うことができます。
弾塑性材料と併用することで弾塑性クリープ解析が可能です。
粘弾性材料との併用はできませんので、粘弾性タブの粘弾性の入力形式は「粘弾性なし」に設定してください。
・「弾性定数タブ」(弾性-等方性/弾塑性バイリニア/弾塑性マルチリニア、温度依存性あり/なし、等方硬化/移動硬化)
・「線膨張係数タブ」(温度依存性あり/なし、等方性/異方性)
・「クリープタブ」(べき乗則)
Femtetでクリープ解析を行う場合の解析条件
Femtetでクリープ解析を行うには、以下の設定をします。
①応力解析タブで、解析の種類「静解析」を選択し、ステップ/熱荷重タブで、時刻設定「設定する」を選択
②応力解析タブで、解析の種類「過渡解析」を選択
Femtetで結果表示できるフィールド
クリープひずみ、相当クリープひずみ、累積相当クリープひずみ、累積相当非弾性ひずみを表示することができます。


