ホーム / テクニカルノート / 磁場解析 / 磁場調和解析で求解している微分方程式
磁場調和解析で求解している微分方程式

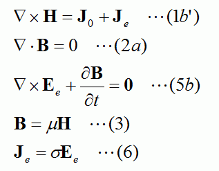
H : 磁界
B : 磁束密度
J0: 強制的に与えられた電流密度
Je: 誘導される電流密度
Ee: 誘導電界
μ: 透磁率
σ: 導電率
磁場調和解析(Gauss調和解析)においては、与えられた強制電流密度J0と境界条件を前提として、上記(1b')(2a)(5b)(3)(6)を満たす磁界H、磁束密度B、誘導電界Ee、誘導電流密度Jeが求められます。
強制電流密度J0が付与された領域においても誘導電流Jeが発生し得るとするか否かは、解析条件として選択することができます。
強制電流密度J0が付与された領域でも誘導電流Jeが発生するとして計算した場合、J0+Jeが計算結果として得られる電流密度となります。その場合、強制電流J0が付与された導体内部においても、表皮効果や近接効果が考慮された電流密度分布が計算されます。
上記(1b')(2a)(5b)(3)(6)式の内容は下記の通りです。
(1b')式 : アンペールの法則 (※1)
(2a)式 : 磁束保存の法則
(5b)式 : ファラデーの電磁誘導の法則 (※2)
(3)式 : 透磁率μの構成材料の中で成立する磁束密度Bと磁界Hの関係式
(6)式 : 導電率σの構成材料の中で成立するオームの法則
※1 : (1b')式について
(1b')式はアンペールの法則ですが、厳密には下記のアンペール=マックスウェルの式(1a')が成立します。

μ : 透磁率
B : 磁束密度
D : 電束密度
J0 : 強制的に与えられた電流密度
Je : 誘導される電流密度
すなわち(1b')式には「dD/dtを無視する」という近似が入っています。
つまり、Gauss調和解析においては、「dD/dtを無視する」という近似のもとで解析が行われることになります。dD/dtの項を無視できない、すなわち電磁波の放射を無視できない高周波の解析については電磁場解析(Hertz)をお使いください。
※2 : (5b)式について
(5b)式はファラデー電磁誘導の法則です。一点注意が必要なのは、解析空間の中には誘導電界Eeだけでなく、強制電流J0を発生させるための強制電流駆動用電界E0も存在するということです。現実にはファラデー電磁誘導の法則は、この強制電流駆動用電界E0も含んだ形で下記(5a)式のように成立します。

E0 : 強制電流駆動用電界
Ee : 誘導電界
B : 磁束密度
Gauss調和解析においては(5a)式ではなく(5b)式を使用していますが、これは∇×E0を仮定していることを意味します。別の表現をすると、強制電流J0は静電位φ0の勾配によって与えられる電界E0で駆動されていると仮定されています。
求解する支配方程式
実際にはGaussソルバは(1b')(2a)(5b)(3)(6)を直接解いているわけではありません。
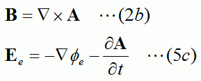
まず、下記(2b)(5c)式のように電磁ポテンシャル(A,φe)を用いて磁束密度Bと誘導電界Eeを表現します。

B : 磁束密度
A : 磁気ベクトルポテンシャル
Ee: 誘導電場
φe: スカラーポテンシャル(電位)
(2b)(5c)のように電磁ポテンシャルを導入すると、(2a)式と(5b)式は自動的に満たされます。
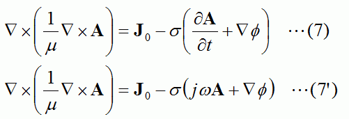
残りの(1b')(3)(6)式が満たされるために電磁ポテンシャル(A,φe)が満たすべき支配方程式は下記(7)式となります。
(7)式は、(3)(6)式を用いて(1b')式をBとEeの式にした上で、BとEeを電磁ポテンシャル(A,φe)で書き換えることにより得られます。

μ: 透磁率
A : 磁気ベクトルポテンシャル
J0: 強制的に与えられた電流密度
σ: 導電率
φ0: スカラーポテンシャル(電位)
j : 虚数単位
ω: 角振動数
磁気ベクトルポテンシャルAが角振動数ωで振動しているという前提で(7)式をフェーザ表示すると(7')式を得ます。
Gauss調和解析ソルバは、(7')式を満足する電磁ポテンシャル(A,φ)を求めます。
得られた電磁ポテンシャル(A,φ)を(2b)(5c)式に代入して磁束密度Bと誘導電界Eeを求め、得られたEeを(6)式に代入して誘導電流Jeを求めています。
(7')式のJ0は、ユーザーによって与えていただく強制電流密度ですが、J0の空間分布を全て明示的に指定いただけるとは限りません。その場合、与えられた境界条件から静電場解析と同様のアルゴリズムによってJ0の空間分布を
計算し、それを(7')の強制電流密度J0として使用します。
支配方程式(7')を解くにあたっては、与えられた境界条件を満たすような電磁ポテンシャル(A,φ)を求めますが、代表的な境界条件の取扱いは下記の通りです。
磁気壁 : 磁束密度B(∇×A)は磁気壁に対して直交する。磁束密度Bと磁気壁法線ベクトルnは同方向もしくは逆方向。
電気壁 : 磁束密度B(∇×A)は電気壁と平行になる。磁束密度Bと電気壁法線ベクトルnは直交(B・n=0)。


