ホーム / テクニカルノート / 電磁波解析 / その他 / 薄膜電極要素
薄膜電極要素
1.薄膜電極要素とは
薄膜電極要素は薄い電極の厚みを考慮した解析をするための要素です。材料定数の導電率タブにて導体、多層電極を選択すると
3次元解析ではシートボディ、2次元解析ではワイヤボディに対して薄膜電極要素が適用されます。電極の厚みはボディ属性で設定
された厚み/幅が用いられます。
薄膜電極要素を用いることで電極の厚み方向のメッシュを気にすることなく電極の厚みを考慮した解析をすることができます。
薄膜電極要素を使用するには解析条件の電磁波解析タブのオプション設定内にある「面(辺)電極の厚みの影響を考慮する」
にチェックを入れる必要があります。
チェック無しの場合(デフォルト状態):
導体、多層電極のいずれの場合も、境界条件(表面インピーダンス、多層電極)を指定した場合と
同じ解析が行われます。この場合、電極の厚みは考慮されません。
チェック有りの場合:
薄膜電極要素を用いることで電極の厚みを考慮して解析を行います。特に電極の厚みが表皮厚み
と同程度かそれより薄い場合、導体の境界条件(表面インピーダンス、多層電極)を指定した場合
よりも精度よく導体損失を計算することができます。
これは導体の境界条件では電極の厚みが表皮厚みよりも十分に厚いことを仮定していることに対し、
薄膜電極要素では薄い電極内部の電界も考慮した解析を行うためです。
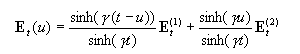
薄膜電極要素内の電界は電極に平行な成分のみと仮定され、次のように計算されます。
(1) |
| Et(1) : u=0 における電界の、電極に平行な成分
Et(2) : u=t における電界の、電極に平行な成分 |
ここで、uは電極の厚み方向の座標値で、u=0とu=tが電極の表面を表しています。
つまりtは電極厚みです。γは電極内部の伝搬定数です。
-
2次元導波路解析の伝搬定数解析と、3次元解析(調和,共振)で使うことができます。
-
材料定数の入力では、導電率を入力する必要があります。
-
厚みの入力が必要です。導体材料の場合は、ボディ属性の厚み/幅タブで、多層電極の場合は導電率タブで入力します。
-
モデルの内部に作成する必要があります。
-
3次元調和解析において高速スイープを使用している場合は薄膜電極要素を使用できません。
-
表面粗さを考慮した解析はできません。
2.理論解との比較
薄膜電極要素の精度を理論解と比較することで確認します。(例題44 薄膜電極要素)
図1のモデルを考えます。このモデルでは空気領域の中に薄い電極(Electrode)が設定され、薄膜電極要素にポート_001から電磁波を入射します。
入射された電磁波は薄膜電極要素で反射、吸収され、一部は透過しポート_002へと伝搬します。この薄い電極であるElectrodeに薄膜電極要素を
使用します。
-
このモデルにおいて薄膜電極要素を用いない場合は電極Electrodeの厚みが表皮厚みよりも十分厚いとされ、ポート_001から入射された
電磁波は電極を透過できずポート_002へと伝搬できません。

図1 モデル概略図
以下ではこのモデルにおいて薄膜電極要素を使用した数値結果と理論解による結果の比較を行います。
理論解は次式で表される伝送線路のインピダンス行列により得られます。ここで、t は電極の厚みです。

このインピダンス行列を、真空中の平面波のインピーダンスを基準インピーダンスとしてSパラメータに変換すると、図1のモデルに対するSパラメータの理論解が
得られます。
理論解において、周波数 1[MHz]、導電率 1×107[S/m]、電極厚み(t) 10[nm]とすると、Sパラメータは理論解より
|S11|=-0.449[dB]
|S21|=-25.949[dB]
損失 0.0957[W]
と計算されます。
一方、薄膜電極要素を設定した数値解析結果は図2のようになり、
|S11|=-0.44941[dB]
|S21|=-25.947[dB]
損失(METAL) 0.09576[W]
となっています。このように薄膜電極要素を用いた数値結果は理論解と同じ結果であり、薄膜電極要素の精度の高さを確認できます。

図2.数値解析結果(Sパラメータ(上図)、消費電力(下図))
3.薄い電極の注意点
薄い電極に対して薄膜電極要素を使用することで電極の厚みを考慮した解析ができますが、この「薄い」という意味には注意が必要になります。
例えば図3左図のように接する誘電体層の厚みと電極の厚みが同程度の場合は注意が必要です。図3左図のモデルに対して電極(導体)を
薄膜電極要素で設定したモデルが図3右図です。
図3右図の設定では導体の厚みはシートボディのためモデルの寸法としては無視され、実際に解析を行いたいモデルである図3左図とは大きく
異なります。数値解析の処理として電極内の電界を扱うことができたとしても、モデルとしてこのように差がある場合は結果としての精度は低くなります。

図3.薄膜電極要素を使ったモデル図(左:実際のモデル、右:薄膜電極要素を用いたモデル)
このような場合は電極(導体)は3次元解析であればソリッドボディ、2次元解析であればシートボディで誘電体層と同様に厚みを考慮したモデリングを
する必要があります。
-
誘電体層の厚みとの比較については薄膜電極要素の使用有無に関係なく注意が必要となります。薄膜電極要素を使用しない場合においても
誘電体層が薄い場合は電極を誘電体層と同様に厚みを考慮してモデリングする必要があります。



(1)