ホーム / テクニカルノート / 電磁波解析 / その他 / 伝搬定数
伝搬定数
分布定数線路をx方向に伝わっていく電圧v(x,t)を,(1)式のように表すことができます。
ここでvv0は定数、xは座標、ωは角周波数、tは時間、jは虚数単位です。
そしてγが伝搬定数です。伝搬定数γの実部αを減衰定数、虚部kpを位相定数と呼びます。

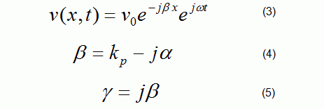
また、同じ事を伝搬定数γを使わずに,次のように表すこともできます。
ここでは、伝搬定数γのかわりに、βを使っています。Femtetではβを使った表示も
同時に利用しています。γとβの関係は次のようになります。