ホーム / テクニカルノート / 圧電解析 / 圧電解析の行列方程式
圧電解析の行列方程式
1.各解析の概要
圧電解析で解いている行列方程式について、以下に示します。
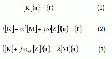
静解析:下の(1)式で表される連立一次方程式を解いて、未知ベクトル{u}を求めます。{u}は変位、電位を含むベクト
ルで、{u}が求まるという事は、解析モデルの変位分布、電位分布が求まるということに対応します。
調和解析:下の(2)式で表される連立一次方程式を解いて、未知ベクトル{u}を求めます。変位、電位、荷重(力、
変位等)が、正弦波で振動しているという条件で解いています。
共振解析:下の(3)式で表される固有値計算をしています。この計算では、固有値に相当する共振周波数が決まります
が、固有ベクトルの大きさは決まりません({u}が両辺にあるため)。そのため、圧電に限らず共振解析で得られるフィールド
(変位など)の振幅の値は、現実に得られる値とは異なります。しかし、共振解析時の振幅が求められない事は不便なの
で、共振解析でも妥当な振幅がえられるように工夫をしています。詳しくはこのページの下、”共振解析時の注意点”をご
覧ください。
| 静解析
調和解析 共振解析 |
![]() |
|
|
:弾性定数、圧電定数、誘電率、形状から作られる行列 |
| :密度、形状から作られる行列 | |
| :音響インピーダンス境界条件を反映した行列 | |
| :変位、電位からなる未知ベクトル | |
| :機械的な荷重からなるベクトル | |
| :角周波数 | |
| :角周波数の近似値 | |
| :固有値(=ω²) |
2.共振解析時の注意点
-
共振解析時の振幅について
次の条件の時、共振解析の振幅は、調和解析で計算した共振時の振幅と、概ね一致する事を確認しています。
・材料に損失がある事。
・駆動源が電圧である事。
ただし、別のモードの共振周波数が近くにある場合には、調和解析の結果と一致しない場合もあります。材料に
損失が無い場合や、電圧の駆動源が無い場合には、振幅を求める事ができません。表示される振幅には意味が
ありません(変位形状には意味があります。)
-
音響インピーダンスを含むモデルの共振解析について
(3)式をご覧いただくとωrefという変数が含まれています。これはユーザが入力した周波数(共振解析タブ->周波数の
近似値)をつかって、行列の構築を行っている事を示しています。音響インピーダンスを用いたモデルで共振解析を
する場合に、周波数の近似値を入力する事は必須ですので、入力をお願いします。




