ホーム / ボディ属性、材料、境界条件の設定 / ボディ属性タブ一覧 / 流体タブ
流体タブ
ボディの流体関連の属性を設定するタブです。
[Body属性の編集]ダイアログに表示されます。ダイアログの表示方法は「ボディ属性/材料定数の設定方法」を参照してください。

|
設定項目 |
解説 |
|
流体ボディの種類 |
設定なし 通常の流体として扱われます。
流れ指定
ボディ内部に流れが生じる条件を与えることができます。ファン等で内部に流れを与えるときに使用します。
周囲流体ボディの流体が流入面(吸気側)からボディ内部に流入し、流出面(排気側)からボディ外部の周囲流体に流出します。
温度や乱流量についても、流出量と流入量が一致するように境界温度、境界乱流量を与えます。
多孔質体
多孔質体を模擬した流体抵抗の設定を行うことで、流体が流れにくい領域の解析を行うことができます。
|
|
拡散解析の設定 |
解析条件で拡散解析を選択している場合、拡散値の初期値を設定することができます。
|
|
流入面/流出面 |
流体ボディの種類で[流れ指定]を選択している時に設定できます。
流入面、流出面を指定することにより内部流れ方向を決定する場合に選択します。
|
|
流入流出の種類 |
流体ボディの種類で[流れ指定]を選択している時に設定できます。
流速指定: 面の法線方向の流速を指定します。 方向・分布入力を指定した場合、流速に加えて「方向ベクトル指定」あるいは「速度ベクトル指定」が選択可能です。
「方向ベクトル指定」では、指定した流速に対して、直交座標・円筒座標で流入方向を指定できます。 方向ベクトル指定では、入力は単位ベクトルである必要はなく、自動で正規化されます。 「速度ベクトル指定」では、直交座標・円筒座標・分布入力で速度ベクトルを直接指定できます。 速度ベクトル指定で円筒座標を選択した場合には、指定面の重心を中心とする角速度を入力することが可能です。 分布データの編集ダイアログの入力方法は「分布を持つ境界条件、ボディ属性の設定」を参照してください。
※方向ベクトル・速度ベクトルが流入指定面の法線ベクトルに対して流出方向(法線ベクトルとの内積が負)となる場合は、 「流体解析の境界条件データの作成に失敗しました」としてエラーが出力されます。
※直交座標では、グローバル座標におけるX方向/Y方向/Z方向成分でベクトルを指定します。 円筒座標では、面重心を中心として法線方向を軸方向とした、半径方向/接線方向/軸方向成分でベクトルを指定します。
※2次元・軸対称解析では円筒座標による方向・速度ベクトルは指定できません。
※方向・分布が反映されるのは流入面側になります。
※過渡解析の場合、重み関数による時間依存性を設定することが可能です。 時間依存にチェックを入れ、重み関数をクリックしてで[時刻_重み]曲線テーブル
流量指定: 面の法線方向の体積流量を指定します。 方向・分布入力を指定した場合、体積流量に加えて「方向ベクトル指定」が選択可能です。
「方向ベクトル指定」では、指定した体積流量に対して、直交座標・円筒座標で流入方向を指定できます。 方向ベクトル指定では、入力は単位ベクトルである必要はなく、自動で正規化されます。
※方向ベクトル・速度ベクトルが流入指定面の法線ベクトルに対して流出方向(法線ベクトルとの内積が負)となる場合は、 「流体解析の境界条件データの作成に失敗しました」としてエラーが出力されます。
※2次元・軸対称解析では円筒座標による方向・速度ベクトルは指定できません。
※方向・分布が反映されるのは流入面側になります。
※過渡解析の場合、重み関数による時間依存性を設定することが可能です。 時間依存にチェックを入れ、重み関数をクリックしてで[時刻_重み]曲線テーブル
ファン: 体積流量とファン前後に生じる圧力差の関係(P-Q特性)をテーブルで入力します。
|
|
多孔質体の設定 |
流体ボディの種類で[多孔質体]を選択している時に設定できます。
流速依存性の設定:
多孔質体の設定には、1次式、2次式、べき乗、空隙率から計算の4つの設定方法があります。 1次式、2次式、べき乗の係数の具体的な算出方法については、「多孔質体の設定」を参照してください。
1次式:多孔質内部の抵抗による圧力損失が流速uの1次式に従う場合の係数を指定します。
dp/dx:距離当たりの圧力損失、p:圧力、u:流速、C1:1次係数
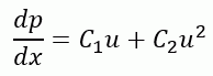
2次式:多孔質内部の抵抗による圧力損失が流速uの2次式に従う場合の係数を指定します。
dp/dx:距離当たりの圧力損失、u:流速、C1:1次係数、C2:2次係数
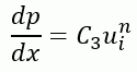
べき乗:多孔質内部の抵抗による圧力損失が流速uのべき乗に従う場合の係数を指定します。
dp/dx:距離当たりの圧力損失、u:流速、C3:べき乗係数、n:べき乗指数
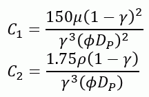
空隙率から計算:空隙率の設定により、Ergunの式に基づき、2次式の係数を自動的に計算して解析を行います。 空気領域に多数の粒子が入り込んでいる形状の場合に使用できます。
Ergunの式の係数:
μ:粘度、ρ:密度、γ:空隙率、DP:粒子直径、Φ:形状係数
空隙率の設定:
空隙率:空隙率を指定します。 熱流体解析、拡散解析を使用する場合、多孔質内部の物性を補正して計算します。
粒子直径、形状係数:球形粒子の直径、形状係数を指定します。 流速依存性で「空隙率から計算」を指定している場合、2次式の係数算出に使用されます。 形状係数を指定している場合、入力した粒子直径に補正が加えられます。 形状係数は、球形からどれだけ外れているかを示す指標であり、球形の場合1、球形以外の場合1以下の値を入力します。
粒子体積および粒子表面積が分かっている場合、以下のファイルで粒子直径、形状係数を計算することができます。
固体部材料:材料リストから固体部の材料を選択します。 熱流体解析を使用する場合に多孔質内部の物性を補正して計算します。
異方性の設定:
係数に異方性がある場合、異方を選択してください。
係数の設定:
係数を指定します。 異方性を設定する場合、3方向の係数の設定を行います。
1次式:1次係数C1を設定します。
2次式:1次係数C1、2次係数C2を設定します。
べき乗:べき乗係数C3、nを設定します。
グラフ表示-横軸設定 横軸最大値を指定して、グラフ表示ボタンを押すことで、流速と圧力損失の関係を確認することができます。
|



をクリックすると、「
をクリックし、モデル画面上で流入面と流出面を選択します。





