ホーム / 例題集 / 圧電解析[Rayleigh] / 例題23 片持ち梁のエアダンピング
例題23 片持ち梁のエアダンピング
本例題について
-
小さな片持ち梁の空気抵抗による減衰を考慮した解析を行い、基本モードの減衰比(=1/(2*Q値))を求めました。減衰は音響インピーダンスの境界条件で与えますが、その値は、流体中の球に加わる抗力から推測した値を使いました。
-
解析で得られた減衰比を、参考文献に掲載された実験値と比較し、2割以下の差で一致することを確認しました。
-
圧電性を無視して計算を行いました。
-
表に記載されていない条件はデフォルトの条件を使用します。
-
プロジェクトファイルを取得(右クリックし、名前を付けてリンク先を保存してください。)
-
Femtetのバージョンや環境により結果が多少ことなります。
解析条件
|
項目 |
条件 |
|
圧電解析[Galileo] |
|
|
解析空間 |
3次元 |
|
解析の種類 |
|
|
単位 |
m |
|
解析オプション |
選択なし |
共振解析タブ
|
タブ設定 |
設定項目 |
条件 |
|
共振解析 |
モード数 |
3 |
|
周波数の近似値 |
0[Hz] |
|
|
メッシュ設定、メッシュサイズ |
標準メッシュサイズを自動的に決定する:OFF 標準メッシュサイズ: 0.01 [mm] |
|
|
メッシュ設定、要素の種類 |
6面体フリー/スイープメッシュ |
モデル図
SiO2の片持ち梁(300x40x1[um])の上下に厚さ0.1[um]のAu層を構成した構造になります。梁の長さ(L)を 300、250、200、150[um]と変えて、解析を行いました。

BODY属性および材料定数の設定
|
BODY No./BODY Type |
BODY名 |
材料名 |
|
3/Solid |
SiO2 |
SiO2 |
|
4/Solid |
Au |
Au |
|
材料名 |
タブ |
値 |
|
SiO2 |
密度 |
2.50x103[kg/m3] |
|
圧電定数 |
ヤング率 79x109[Pa] ポアソン比 0.3 |
|
|
Au |
密度 |
1.932x104[kg/m3] |
|
圧電定数 |
ヤング率 80x109[Pa] ポアソン比 0.42 |
境界条件
|
境界条件名/Topology |
タブ |
境界条件の種類 |
条件 |
|
FIX/Face |
機械 |
変位 |
UX=0, UY=0, UZ=0 |
|
外部境界条件 |
機械 |
実部=zre 虚部=zim |
(*)zre,zimは入力しやすいよう、変数で定義しています。
エアダンピングを考慮した解析を行うため、音響インピーダンス(Z)を適切な値に設定する事が必要です。
空気による抵抗と同等の効果を示す音響インピーダンス値を決める方法として、解析結果が実験結果と合うように音響インピーダンス値を決めるという方法が考えられます。しかし、ここでは実験結果が無い場合にも妥当な解析ができるよう、計算で音響インピーダンスの値を決める方法を考えました。
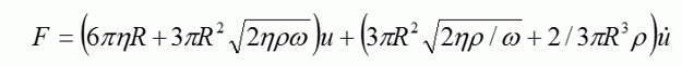
梁の音響インピーダンスを直接的に計算する方法は分かりませんので、近似的な方法を使いました。空気中で、微小な振幅で調和振動する球に加わる力(F)は、理論的に求められます[1]。ここでは文献[2]に示された式(1)を示します。
(1)
R:球の半径 ω:角周波数 u:速度 η:空気の粘性率 = 1.81e-5[Pa・s] ρ:空気の密度= 1.18[kg/m3]
この式を用いて、球と同じ半径(R)をもつ円板が、球と同じ速度で振動する時に、球と同じ力を空気から受けるよう、音響インピーダンスを決めることにします(図1)。音響インピーダンスの境界条件に入力する値(Z)は、Z=圧力/速度、です。この圧力は、(1)式の力を円板の表面積(2πR2)で割って求めます。円板の表面と裏面を考え、側面の影響は無視しています。この考え方により、音響インピーダンスは(2)式で求めることができます。ただし、調和振動を仮定しているので、加速度は du/dt=jωu と書くことができます。

図1.(A)振動して空気から力を受ける球。(B)振動して空気から力を受ける円板。
球が受ける力と同じ力を受けるように、円板の音響インピーダンスを決める。
(2)
梁の奥行き(b)と等しい直径を持つ球を考え、音響インピーダンスを(2)式で求めることにします。
(2)式を計算するためには角周波数が必要なので、まず音響インピーダンス(Z)を設定しない状態(Z=0)で、共振解析を行い、角周波数を求めます。下の表では、このようにして共振周波数を求め、
(2)式で音響インピーダンス(Z)を求めました。梁の奥行きは40μmなので、R=20μmとして計算しています。

表1.音響インピーダンス(Z)を設定していない場合(Z=0)の共振周波数と、それを使って(2)式で求めた音響インピーダンス値
表1のf0[Hz]を解析条件、共振解析タブ、周波数の近似値に入力します。その周波数で求めた音響インピーダンスの値を外部境界条件に設定し、解析すると、複素共振周波数が求められます。
複素共振周波数から、減衰比、Q値を求めることが可能です。
- 解析1.添付のプロジェクトファイルをそのまま実行します。この状態は梁の長さ(l)を300[um]です。
- 結果1.共振周波数(実部のみ)が得られます。(表1のf0が得られます。)
- 解析2.f0を(解析条件、共振解析タブ)周波数の近似値に、音響インピーダンスZを境界条件に入力し、解析します。
- 結果2.複素共振周波数が得られます。複素共振周波数から、減衰比、Q値を求めることが可能です。
- 添付のプロジェクトファイルは、梁の長さ(l)を300[um]、音響インピーダンス(Z)を0[Pa・s/m]に設定しています。これらは変数として定義していますので、変更は容易です。
解析結果
結果の図を示します。

片持ち梁の基本振動モードが確認できます。コンター図の色は変位の大きさに対応しています。
結果として得られた複素共振周波数(f0)を表に示しました。 減衰比は、f0の実部と虚部の比として求め、文献[3]に掲載された実験値と比較を行いました。
表の右端の列を見てください。減衰比の計算値と実験値の比を示しています。この結果、2割以内の誤差で一致していることが分かりました。

参考までに、減衰比(ζ)、Q値、複素共振周波数(f0=fre+j fim)の関係を示します。

参考文献
[1] ランダウ=リフシッツ 流体力学1。
[2] 国分清秀、平田正紘、小野雅敏、村上寛、戸田義継:真空 30 (1987) 714
[3] Christian Bergaud, Liviu Nicu and Augustin Martinez : Multi-Mode air damping analysis of composite cantilever beam ,Jpn.J.Appl.Phys., 38,(1999)6521



