ホーム / テクニカルノート / 流体解析/熱流体解析 / 壁面近傍のメッシュ設定
壁面近傍のメッシュ設定
1. 壁面近傍の速度分布
固体壁近傍の流速分布(コンタ図、およびベクトル図)の一例を示します。


次に、横軸を壁面からの高さ、縦軸を流速でプロットした結果を示します。

上記の結果から分かるように、壁面近傍の流速には以下の特徴があります。
・流速ベクトルは壁面に沿った方向(流体が壁に沿って移動する)
・壁面からの高さで大きく流速分布が変化する
2. 流速に関する壁関数
壁面からの高さと流速には法則性があります。
以下のように、無次元高さy+、無次元速度u+を定義すると、u+とy+は一定の関係があります。
これを壁関数と呼びます。
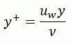
2.1 無次元量
無次元高さ

無次元速度

各変数に関する説明は以下に示します。

2.2 壁関数の特徴
y+<5以下の領域は、粘性領域と呼ばれ、y+とu+は比例します。
y+>30の領域は対数領域と呼ばれ、y+の対数とu+は比例します。

これらの式をグラフに示します。右のグラフは横軸を対数で表しています。
Femtetでは、粘性領域と対数領域を滑らかに接続するように補間したカーブを使用します。

各定数に関する説明を以下に示します。

3. 壁面近傍のメッシュ
壁面近傍の流速は、以下の特徴を持ちます。
・流速ベクトルは壁面に沿った方向(流体が壁に沿って移動する)
・壁面からの高さで大きく流速分布が変化する
このことから、高さ方向のみにメッシュが細かい積層メッシュが固体壁近傍の流れを計算するのに有効であると言えます。
精度良く計算するためには、固体壁近傍のメッシュ高さが適切になっている必要があります。
適切なメッシュ設定については、二つの考え方があります。
①の方が精度が良いですが、メッシュを細かくする必要があり、計算コストは大きくなります。
①壁面近傍の流速分布がなめらかになるように、十分に細かくなっていること
・第1層目がy+=1~5程度
・変化の大きいy+=200程度まで、積層メッシュ領域になっていることを推奨します。目安を以下に示します。
|
第1層設定目標 |
設定例 |
解説 |
|
y+=1 |
成長率:1.2 積層数:20 |
1層目がy+=1のとき、y+=186まで積層メッシュ領域にすることが可能です。 |
|
成長率:1.5 |
1層目がy+=1のとき、y+=257まで積層メッシュ領域にすることが可能です。 |
|
| y+=5 |
成長率:1.2 積層数:12 |
1層目がy+=5のとき、y+=197まで積層メッシュ領域にすることが可能です。 |
|
成長率:1.5 積層数:8 |
1層目がy+=5のとき、y+=246まで積層メッシュ領域にすることが可能です。 |
「1.壁面近傍の速度分布」で示した流速分布結果は、第1層y+=1で、成長率1.2、積層数20で積層メッシュを生成した例です。
②第1層目を壁関数の対数領域に配置すること(乱流解析k-εモデルの場合のみ)
・第1層目のy+が対数領域(30<y+<200)の範囲に入っていることが重要です。
「1.壁面近傍の速度分布」と同じ条件の解析をy+=74.5、成長率1.2、積層数5の積層メッシュで解析した結果も以下に示します。
壁面第1層より高い部分の分布は、十分に細かくして解析した場合とほぼ一致していると言えます。
ただし、SST k-ωモデルで計算する場合は、粘性底層と対数領域のハイブリッド型の壁関数を用いるため、y+<200であれば問題ないといえます。



4. 壁面近傍のメッシュの妥当性確認
4.1 y+(壁面第1層メッシュ高さ)の出力
適切なメッシュ高さになっているかどうかは、y+(壁面第1層メッシュ高さ)の出力を目安にします。
y+の出力はコンタ図での表示とテーブル値での壁面毎の分布に対応しています。
テーブルで表示される対象は、固体壁境界条件、および、固体材料のボディ属性になります。


テーブル値では、y+値でy+平均値と、y+分布を出力することができます。⇒「流体解析で出力される結果テーブル」
y+分布では固体壁境界条件上の全節点のy+値を集計し、5つの範囲の存在割合として出力しています。
5つの範囲について以下に示します。①②は粘性領域、③は遷移領域、④は対数領域に対応します。

乱流解析では、壁面第1層のy+が200以下に収まっている必要があります。
これは壁関数処理の適用範囲がy+<200以下のためです。
y+>200の割合が多い場合、ワーニングメッセージが出力されます。
層流解析では、壁面第1層のy+は5以下に収まっている必要があります。
壁関数処理が行われないため、y+とu+の関係が非線形になる5以上では精度が著しく低下します。
範囲外のy+の割合が多い場合、ワーニングメッセージが出力されます。
y+>5の割合が多い場合、ワーニングメッセージが出力されます。
壁面表面の流れが複雑な場合、『①壁面近傍が流速分布がなめらかになるように、十分に細かくなっていること』の考え方で
より小さなy+になるようにして、詳細の計算をした方が良い場合もあります。
4.2 推奨値の出力
適切なメッシュ高さにするための設定値について、テーブル値で第1層メッシュ高さの推奨値を出力しています。⇒「流体解析で出力される結果テーブル」
y+<1、y+<5、y+<200にするための推奨値が出力されます。

『①壁面近傍の流速分布がなめらかになるように、十分に細かくなっていること』の考え方で積層メッシュの設定を行う場合、
y+<1、y+<5の推奨値を使用して、第1層メッシュ高さを設定します。
成長率や積層数も意識して設定する必要があります。(3. 壁面近傍メッシュ参照)
『②第1層目を壁関数の対数領域に配置すること(乱流解析のみ)』の考え方で積層メッシュの設定を行う場合、
y+<200の推奨値を使用して、第1層メッシュ高さを設定します。
積層メッシュの設定は、解析条件の「流体解析タブ」「熱流体解析タブ」、および境界条件の「流体タブ(熱流体タブ)」から設定することができます。
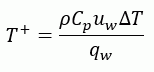
5. 温度に関する壁関数
壁面からの高さと温度についても流速と同様に法則性があります。
以下のように、無次元温度T+を定義すると、u+とT+は一定の関係があります。
これを壁関数と呼びます。
5.1 無次元量
無次元温度

各変数に関する説明は以下に示します。

5.2 壁関数の特徴
粘性領域では、T+は、y+とプラントル数に比例します。
対数領域では、T+は、y+の対数と乱流プラントル数に比例します。プラントル数Pr、および、乱流プラントル数Prtに応じてT+の値はシフトします。
Femtetでは、流速壁関数と同様に、粘性領域と対数領域を滑らかに接続するように補間したカーブを使用します。

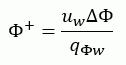
6. 拡散に関する壁関数
壁面からの高さと拡散値についても流速と同様に法則性があります。
以下のように、無次元拡散値Φ+を定義すると、u+とΦ+は一定の関係があります。
これを壁関数と呼びます。
6.1 無次元量
無次元拡散値

各変数に関する説明は以下に示します。

6.2 壁関数の特徴
粘性領域では、Φ+は、y+とプラントル数に比例します。
対数領域では、Φ+は、y+の対数と乱流シュミット数に比例します。シュミット数Sc、および、乱流シュミット数Sctに応じてΦ+の値はシフトします。
Femtetでは、流速壁関数と同様に、粘性領域と対数領域を滑らかに接続するように補間したカーブを使用します。



