ホーム / テクニカルノート / 電場解析 / 電場解析で求解している微分方程式
電場解析で求解している微分方程式
静解析(材料構成:誘電体)



D : 電束密度
ρ: 電荷密度
E : 電界
φ: 電位
容量値解析を行う場合、電場静解析(Coulomb静解析)では(1)(2b)(3)式を満たす電界E,電束密度Dの空間分布を求めます。
それぞれの式の内容は下記の通りです。
(1)式 : ガウスの法則
(2b)式 : 定常状態におけるファラデー電磁誘導の法則
(3)式 : 各構成材料の中で成立する電束密度Dと電場Eの関係式
ファラデー電磁誘導則の本来の表現は下記(2a)式ですが、静解析(定常解析)において磁束密度Bの時間微分はゼロのため(2b)式が成立します。

E : 電界
B : 磁束密度
ρは条件として与えられる電荷密度ですが、実際の求解においては一つの例外を除いてρはゼロとします。
定常状態において誘電体の内部に電荷は存在しないというのが、ρをゼロとする理由です。
導体表面には電荷が存在しますが、容量値解析の場合の静解析においては、導体はボディとしてモデリングせずに境界条件(電気壁)として与えていただくことになるため、解析空間の内部には電荷が存在しないという前提が成り立ちます。
ρをゼロとしない一つの例外はボディ属性として電荷密度を設定いただいた場合です。
この場合、設定された静電荷がボディの中に分布するものとして(1)式の右辺にその分布が与えられます。
求解する支配方程式
Coulombソルバが解を求めるとき、(1)(2b)(3)式を直接解くわけではありません。
ここでは、Coulombソルバが求解に用いる支配方程式を紹介します。
(2b)式が成立することと、電位φを用いて電界Eが下記(2c)式のように定義できることは等価となります。

E : 電界
φ: 電位
Coulombソルバは(1)(2c)(3)式を整理することで得られる支配方程式(4)を解くことで、電位Φの空間分布を求めます。

(4)式を満たす電位分布φを求めたあと、そのφを(2c)式に代入して電界Eの分布を求め、そのEを(3)式に代入して電束密度Dの分布を求めます。
Coulombソルバは与えられた境界条件が満たされるように、支配方程式(4)を解きます。
代表的な境界条件の扱いを下記します。
電気壁に対しては、「電気壁と電界E(電位φの勾配)が直交する」という条件が付与されます。
これにより、同一電気壁内の電位φは全て同じになります。
電位値が指定されている電気壁にはその電位値が付与されます。
電位値が指定されていない浮電極の電気壁については、境界条件として電位は与えられません。(支配方程式(4)を求解した結果として電位が求まります)。
磁気壁に対しては、「磁気壁と電界E(電位φの勾配)は平行となる。つまり磁気壁の法線ベクトルと電界Eは直交する」という条件が付与されます。
静解析(抵抗値)



J : 電流密度
ρ: 電荷密度
σ: 導電率
E : 電界
φ: 電位
抵抗値解析を行う場合、電場静解析(Coulomb静解析)では(5b)(2b)(6)式を満たす電流密度J、電界Eの空間分布を求めます。
それぞれの式の内容は下記の通りです。
(5b)式 : 定常状態における電荷保存則
(2b)式 : 定常状態におけるファラデー電磁誘導の法則
(6)式 : 各構成材料の中で成立するオームの法則
電荷保存則(5b))、ファラデー電磁誘導の法則(2b)の本来の表現は、それぞれ下記の(5a)(2a)ですが、静解析(定常解析)において物理量の時間微分はゼロとなるため、上記の(5b)(2b)が成立します。


求解する支配方程式
Coulombソルバが解を求めるとき、(5b)(2b)(6)式を直接解くわけではありません。
ここでは、Coulombソルバが求解に用いる支配方程式を紹介します。
(2b)式が成立することと、電位φを用いて電場Eが下記(2c)式のように定義できることは等価となります。

E : 電界
φ: 電位
Coulombソルバは(5b)(2c)(6)式を整理することで得られる支配方程式(7)を解くことで、電位Φの空間分布を求めます。

(7)式を求解することで得られる電位Φの空間分布から(2c)式を用いて電界Eの空間分布を求めます。
また、得られた電界Eの空間分布から、(6)式を用いて電流密度Jの空間分布を求めます。
Coulombソルバは与えられた境界条件が満たされるように、支配方程式(7)を解きます。
代表的な境界条件の扱いを下記します。
電気壁に対しては、「電気壁と電界E(電位φの勾配)が直交する」という条件が付与されます。
これにより、同一電気壁内の電位φは全て同じになります。
電位値が指定されている電気壁にはその電位値が付与されます。
電位値が指定されていない浮電極の電気壁については、境界条件として電位は与えられません。(支配方程式(4)を求解した結果として電位が求まります)。
磁気壁に対しては、「磁気壁と電界E(電位φの勾配)は平行となる。つまり磁気壁の法線ベクトルと電界Eは直交する」という条件が付与されます。
調和解析





D : 電束密度
ρ: 電荷密度
E : 電界
J : 電流密度
σ: 導電率
φ: 電位
電場調和解析(Coulomb調和解析)では、上記(1)(5a)(2b)(3)(6)式を満たす電束密度D、電界E、電流密度J、電荷密度ρが求められます。
これらの物理量はすべて角振動数ωで調和振動しているという前提のもとで求解されます。
それぞれの式の内容は、下記の通りとなります。
(1)式 : ガウスの法則
(5a)式 : 電荷保存則
(2b)式 : ファラデー電磁誘導の法則を近似した式 (※)
(3)式 : 各構成材料の中で成立する電束密度Dと電界Eの関係式
(6)式 : 各構成材料の中で成立するオームの法則
(2b)式はファラデー電磁誘導の法則(2a)の近似になっています。

E : 電界
B : 磁束密度
Coulomb調和解析においては(2a)式の右辺をゼロと近似して(2b)式を用いています。つまりCoulomb調和解析においては、磁束密度Bの時間微分を無視する(電磁誘導の効果を無視する)という近似を行っています。
※ 静解析すなわち定常解析においては磁束密度Bは時間的に変化しないため、そもそもBの時間微分項はゼロであり、(2b)を用いても近似にはなりません。しかし調和解析においてはBの時間微分項がゼロでないため、(2b)式を用いることは近似となります。
電流分布が電磁誘導の影響を受ける高周波において、この近似に起因する解析誤差が大きくなることにご注意ください。
ファラデーの電磁誘導の法則を考慮した上で解析を行う必要がある場合は、電磁場解析(Hertz)をお使いください。
求解する支配方程式
Coulombソルバが解を求めるとき、(1)(5a)(2b)(3)(6)式を直接解くわけではありません。
Coulombソルバが求解に用いる支配方程式は下記の(8')式です。
(8')式の導出過程は次項に記します。

(8')式は(2c)式で電界Eを定める電位φに関する微分方程式です。
また(8')式は、φが角振動数ωで振動しているという前提の上でのフェーザ表示となります。
(8')を満たす電位φを求めた後、求めたφを(2c)式に代入して電界Eを求め、求めた電界Eを(6)式に代入して電流密度Jを求めます。
Coulombソルバは与えられた境界条件が満たされるように、支配方程式(8')を解きます。
代表的な境界条件の扱いを下記します。
電気壁に対しては、「電気壁と電界E(電位φの勾配)が直交する」という条件が付与されます。
これにより、同一電気壁内の電位φは全て同じになります。
電位値が指定されている電気壁にはその電位値(電位の振幅)が付与されます。
電位値が指定されていない浮電極の電気壁については、境界条件として電位は与えられません。(支配方程式(4)を求解した結果として電位が求まります)。
磁気壁に対しては、「磁気壁と電界E(電位φの勾配)は平行となる。つまり磁気壁の法線ベクトルと電界Eは直交する」という条件が付与されます。
支配方程式(8')の導出
方程式(1)(5a)(2b)(3)(6)から、支配方程式(8')が導出されることを下記します。
(2b)式が成立することと、電位φを用いて電場Eが下記(2c)式のように定義できることは等価となります。

E : 電界
φ: 電位
(1)(2c)(3)式より、下記(4)式が得られます。
※ これは容量値解析の場合の支配方程式として使用した式でもあります。

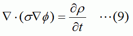
(5)(2c)(6)式より、下記(9)式が得られます。

つまり(4)式と(9)式を同時に満たすφが、方程式(1)(5a)(2b)(3)(6)を満たすφとなります。
(4)(9)式からρを消去してφに関する式にまとめた式(8)が、φがみたすべき支配方程式となります。

電位φが角振動数ωで調和振動しているという前提のもとで、(8)式をフェーザ表示で表現して整理すると(8')式が得られます。


