ホーム / テクニカルノート / 応力解析 / 拡張ひずみ仮定法
拡張ひずみ仮定法
拡張ひずみ仮定法とは、応力解析において「3次元6面体1次要素」および「2次元4角形1次要素」において、精度を向上させる手法になります。
圧電解析は非対応です。また、シェル要素には適用されません。
デフォルトでは3次元六面体・2次元四角形1次要素に対して自動で拡張ひずみ仮定法が適用されます。
従来の通常の一次要素として計算する場合は「高度な設定タブ」の中の「応力解析/圧電解析の設定」から拡張ひずみ仮定法のチェックを外してください。
1次要素は中間節点を有しないため、純曲げ変形を加える力が要素に加わった時に要素の変形がせん断変形になってしまうことで、理論値以上に剛性が高くなる傾向があります。
この現象を「せん断ロッキング」といい、扁平な要素になるほどこの現象が顕著にあらわれます。
例えば2次元片持ち梁の変形で比較すると、1次要素の方が変位量が小さく剛性が高い結果になっていることがわかります。
一方で、拡張ひずみ仮定法を用いた場合には1次要素でも2次要素と同等の変位の結果になっています。

拡張ひずみ仮定法は、要素の内部に追加自由度を追加し、要素の内部のひずみを仮定する手法になります。
追加自由度によって、要素剛性方程式は以下のようになります。
ここで、求めたい変位u、追加自由度α、節点力Fe、追加自由度の内力Fαとしています。

追加自由度の内力Fαをゼロとしたとき、追加自由度αは消去され要素剛性方程式は次式となります。
この操作を静的縮約といいます。

静的縮約の操作が発生するため要素剛性方程式の組み立てには通常の1次要素より時間はかかりますが、
全体剛性行列のサイズは同じであるため連立方程式の解く時間は2次要素より十分にやくなります。
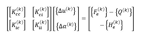
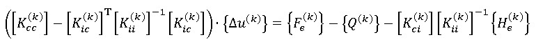
非線形解析の場合には、ニュートンラプソン法の反復計算として以下の式を静的縮約しています。
ここでHeは非適合モードの内力ベクトルを表します。

静的縮約を行うと拡張ひずみ仮定法による非線形の要素剛性方程式になります。

Femtetでは、3次元6面体要素では21個、2次4角形要素で7個、軸対称4角形要素で5個の自由度を追加して拡張ひずみ仮定法の定式化を行います。


