ホーム / テクニカルノート / 応力解析 / J積分について
J積分について
ひずみエネルギー解放率の定義
ひずみエネルギー解放率は、クラック(亀裂)の進みやすさを評価するパラメータです。
ひずみエネルギー解放率はクラックの進む前と進んだ後のポテンシャルエネルギーの変化を用いて計算されます。
ある領域Vの全体のポテンシャルエネルギーは、ひずみエネルギーから、外部から加えられた仕事を差し引いた値
(式1)
V:領域の体積、We:ひずみエネルギー密度、T:外力、u:変位、S:領域の表面積
となります。
長さaのクラックが微小量da伸びたときのポテンシャルエネルギー減少量は、ひずみエネルギー解放率Gと定義されます。
(式2)
G>0では、クラックが進む前よりも進んだ後の方がポテンシャルエネルギーが小さくなり、
クラックが進展した方が安定な状態となります。
このGの大きさを、クラックの進展しやすさの指標とすることができます。
ひずみエネルギー解放率は亀裂進展力とも呼ばれ、亀裂進展力が、
材料の結合力に起因する亀裂進展抵抗GCを超えた場合にクラックが進展すると考えられている。
(式3)
J積分によるひずみエネルギー解放率の算出
ひずみエネルギー解放率Gを求める方法として、例題34 エネルギー解放率のように、
クラックの長さが異なる二つのモデルを用いて求める方法もありますが、
一つのモデルで、経路積分を用いて解くJ積分があります。J積分は式1、2から導出されます。
(式4)
Γ:クラック先端を取り囲む積分経路、We:ひずみエネルギー密度、ni:経路Γの外向き法線ベクトル、
Ti:外力ベクトル、ui:変位ベクトル
ベクトル、テンソルの添え字i,jは、1:x方向成分、2:y方向成分、3:z方向成分を示します。
式4内で使用される外力ベクトルは、応力テンソルσij、外向き法線ベクトルnjを用いて以下の式で表わされます。
(式5)
積分経路について
モデル作成時に面トポロジ分割などを用いて、積分経路を作成して解析してください。
積分経路の作成には、一部に属性をつける方法により、メッシュサイズを転写する方法も有効です。
(例題46 J積分を用いた亀裂先端のエネルギー解放率解析参照)
以下の点を満たしていれば、形状、大きさはどんなものでも構いません。
・クラックの先端を取り囲んでいる
・クラックの辺上の点を始点、終点とする
・始点と終点は、クラックを挟んで対称な位置とする
・経路は同一面内にある
・180°以上の内角を含まない
積分経路の良い例と悪い例を示します。

積分経路:良い例

積分経路:悪い例
ひずみエネルギー解放率の成分について
ひずみエネルギー解放率は、ベクトルとして出力されます。
x方向成分、y方向成分、z方向成分は、各方向への進展しやすさを示します。
ベクトル成分からひずみエネルギー解放率が最大を示す方向とその最大値を求めることができます。
亀裂進展抵抗に異方性のない等方材料の場合、θ、φはクラックの進展方向を示します。
(式6) 
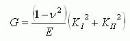
ひずみエネルギー解放率と応力拡大係数の関係
ひずみエネルギー解放率と同様に、クラックの評価に用いられるパラメータとして、応力拡大係数があります。
ひずみエネルギー解放率は、応力拡大係数KI(開口モード)、KII(面内せん断モード)を混合した値となります。
平面応力 近似の場合
(式7)
平面ひずみ近似の場合
(式8)
計算結果画面からのJ積分実行
辺トポロジを選択時に「右クリックメニュー(解析結果ウィンドウ) 」からJ積分を実行できます。
応力解析結果で応力の表示中のみ実行可能です。


