ホーム / テクニカルノート / 磁場解析 / 定常場高速解析
定常場高速解析
磁性材料の非線形性を考慮して定常状態を過渡解析で求める場合、時定数が長いと定常状態に達するまでに多くの時間ステップ数を要します。
そこで、定常に達するまでの時間ステップ数を大幅に削減するための有力な補正法として、簡易TP-EEC法ならびに3相交流系で利用可能な3相交流簡易TP-EEC法があります。
過渡磁場解析Luvensで利用可能な簡易TP-EEC法は、解析対象の時間微分項をもつ部分系が半周期性(反周期性)を有する場合のみです。
すなわち、時間t、周期Tに対して、解析対象の部分系において、
コイル電流I(t+T/2) = -I (t)、磁場B(t+T/2) = -B (t) 、渦電流J(t+T/2) = -J (t)
を満たす場合です。
典型的な例として、モータの固定子に外部回路系が接続されている場合、固定子側の場は半周期性を有している場合が多く、簡易TP-EEC法が適用できます。
3相交流系では、3相交流系における各相の同等性を利用して、簡易TP-EEC法よりも3倍高速補正が可能な3相交流簡易TP-EEC法が効果的です。
ただし、両補正法ともすべりの小さい(すべり2%以下)誘導電動機への適用は困難です。
なお、ここで補正対象の未知変数は、解析対象を記述する微分方程式において時間微分項をもつものです。
磁界解析方程式では、渦電流領域内の磁気ベクトルポテンシャル、また回路連成解析の場合は、コイル電流ならびにコイル領域の磁気ベクトルポテンシャルが補正対象候補になります。
これらの補正対象をすべて補正する必要はありません。
回路連成解析においては、コイル電流のみ補正しても十分な補正効果が得られる場合が多いです。
簡易TP-EEC法および3相交流簡易TP-EEC法は、その名称に「簡易」という呼び名が付いており、「簡易」が付かない正式なものも補正法として存在します。
正式なものはEEC(Explicit Error Correction)法(陽的誤差修正法)から説明する必要がありますが、「簡易」がつく補正法は、EEC法の概念を持ち出さなくとも容易に説明できますので、ここではEEC法の概念を用いない簡便な考え方を述べます。
簡便な考え方を一言でまとめると、「定常状態で成立する関係式をそのまま補正式とする」ということです。
以下具体的に説明します。
簡易TP-EEC法
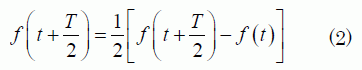
半周期性をもつ場f(t)を考えます。
もし、f(t)が定常状態に到達した場合、f(t)と半周期後のf(t+T/2)の間には次の関係式が成立します。

これを変形すると、

となります。
これにより、次式に示す簡易TP-EEC法による補正式が得られます。

このように、簡易TP-EEC法では、半周期毎に補正します。
3相交流簡易TP-EEC法
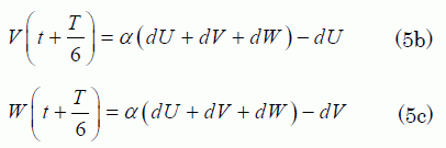
3相交流系(U, V, W)を考えます。
ここで、(U, V, W)の3変数が同等性をもつ場合を考えます。
具体的には、解析体系において(U, V, W)を(V, W, U)や(W, U, V)に入れ替えても、実質等価な場合です。
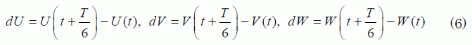
もし、この系が定常状態に到達した場合、(1/6)周期後のU, V, Wの変動量をdU, dV, dWとした場合、図1から次式が成立します。


図1 定常状態における3相交流系(U, V, W)における(1/6)周期後の変動
ここで、dU + dV + dW = 0 なので、より一般的に


が成立します。
ここで、全ての奇数次時間高調波に概ね補正能力を有する補正式としてα=1/2としますと、次式に示す3相交流簡易TP-EEC法による補正式が得られます。

なお、dU, dV, dWは具体的には次のように書けます。

このように、3相交流簡易TP-EEC法では、(1/6)周期毎に補正が可能です。
過渡解析において(5a’)(5b’)(5c’)(6)を用いて、3相交流系(U, V, W) を (1/6)周期毎に補正することで、高速に定常状態に到達することができます。
3相交流系(U, V, W)の対象として、具体的には、回路連成解析におけるコイル電流やその場合のコイル領域の磁気ベクトルポテンシャルが挙げられますが、前述のように、コイル電流のみでも非常に効果的です。
冒頭で(U, V, W)の3変数が同等であるという条件を設定しましたが、回転機の場合、これは、電気角換算で120度回転したときのメッシュの合同性が要求されるように見えますが、その必要はなく、(U, V, W)3変数の同等性が概ね満足されていれば、幅広く効果的に利用可能です。
3相交流系のインバータ駆動の電気機器においては、数値解析上、コイル電流が定常に到達するのに時間を要しますので、3相交流簡易TP-EEC法による補正は非常に効果的に利用できます。


