ホーム / テクニカルノート / 圧電解析 / 圧電解析で求解している微分方程式
圧電解析で求解している微分方程式
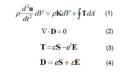
圧電解析では次に示した方程式を元に解いています。

(1)式は、運動方程式です。
(2)式の右辺に電荷密度書くと、ガウスの法則の微分形になります。圧電解析では、解析領域内部に真電荷が存在しないと仮定し、(2)式を解いています。
(3),(4)式は圧電方程式e形式になります。
|
u |
:変位 |
ρ |
:密度 |
|
K |
:体積力 |
e |
:圧電e定数 |
|
D |
:電束密度 |
ε |
:誘電率 |
|
S |
:ひずみ |
c |
:弾性定数 |
|
E |
:電界 |
|
(スティフネス) |
|
T |
:応力 |
|
|