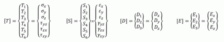
圧電方程式
圧電方程式は、応力[T]、ひずみ[S]、電界[E]、電束密度[D]の関係を表す式です。
ひずみの説明は、ひずみの種類のページを、応力の説明は、応力の種類のページをご覧ください。
ここでは、ひずみ、応力、電界、電束密度をベクトルの形で表します。

これらと弾性定数(コンプライアンス行列(s)、またはスティフネス行列(c))、 比誘電率行列ε(または逆比誘電率行列β)、圧電(e、g、h、d)定数の関係式が圧電方程式で、次に示す4つの形式があります。
![]() |
e形式 |
![]() |
g形式 |
![]() |
h形式 |
![]() |
d形式 |
et,gt,ht,dtなど下付き添え字のtは、転置行列を表します。
d形式
よく利用される圧電d形式について、成分に分解し、ダイアログとの関係を確認しておきます。

弾性コンプライアンス行列(s)の入力。
弾性行列は対称なので、圧電定数ダイアログでは、下図のように、左下半分のみを入力します。
|
|
xx |
yy |
zz |
yz |
zx |
xy |
|
xx |
s11 |
-- |
-- |
-- |
-- |
-- |
|
yy |
s21 |
s22 |
-- |
-- |
-- |
-- |
|
zz |
s31 |
s32 |
s33 |
-- |
-- |
-- |
|
yz |
s41 |
s42 |
s43 |
s44 |
-- |
-- |
|
zx |
s51 |
s52 |
s53 |
s54 |
s55 |
-- |
|
xy |
s61 |
s62 |
s63 |
s64 |
s65 |
s66 |
圧電d定数の入力
|
|
x |
y |
z |
yz |
zx |
xy |
|
x |
d11 |
d12 |
d13 |
d14 |
d15 |
d16 |
|
y |
d21 |
d22 |
d23 |
d24 |
d25 |
d26 |
|
z |
d31 |
d32 |
d33 |
d34 |
d35 |
d36 |
比誘電率行列の入力
比誘電率行列は対称なので、圧電定数ダイアログでは、下図のように、左下半分のみを入力します。
|
|
x |
y |
z |
|
x |
ε11 |
-- |
-- |
|
y |
ε21 |
ε22 |
-- |
|
z |
ε31 |
ε32 |
ε33 |
e形式
よく利用される圧電e形式について、成分に分解し、ダイアログとの関係を確認しておきます。

弾性スティフネス行列(c)の入力。
弾性行列は対称なので、圧電定数ダイアログでは、下図のように、左下半分のみを入力します。
|
|
xx |
yy |
zz |
yz |
zx |
xy |
|
xx |
c11 |
-- |
-- |
-- |
-- |
-- |
|
yy |
c21 |
c22 |
-- |
-- |
-- |
-- |
|
zz |
c31 |
c32 |
c33 |
-- |
-- |
-- |
|
yz |
c41 |
c42 |
c43 |
c44 |
-- |
-- |
|
zx |
c51 |
c52 |
c53 |
c54 |
c55 |
-- |
|
xy |
c61 |
c62 |
c63 |
c64 |
c65 |
c66 |
圧電e定数の入力
|
|
x |
y |
z |
yz |
zx |
xy |
|
x |
e11 |
e12 |
e13 |
e14 |
e15 |
e16 |
|
y |
e21 |
e22 |
e23 |
e24 |
e25 |
e26 |
|
z |
e31 |
e32 |
e33 |
e34 |
e35 |
e36 |
比誘電率行列の入力
比誘電率行列は対称なので、圧電定数ダイアログでは、下図のように、左下半分のみを入力します。
|
|
x |
y |
z |
|
x |
ε11 |
-- |
-- |
|
y |
ε21 |
ε22 |
-- |
|
z |
ε31 |
ε32 |
ε33 |






