ホーム / 例題集 / 音波解析[Mach] / 例題13 吸音材(テーブル入力)
例題13 吸音材(テーブル入力)

本例題について
-
この例題は、日本建築学会 音響数値解析小委員会様のウエブサイト[1]、「吸音材料の音響特性計測に関するベンチマーク」を元に解析モデルを作成し、掲載された資料との比較を行っています。
-
吸音材の特性をmiki モデル[2][3]を利用して解析した事例を示します。
-
吸音材の材料定数は、複素音速、複素密度の周波数特性テーブルで入力します。
-
結果の吸音材の特性をウエブサイト[1]より取得した実測値と並べて示します
-
Femtetのバージョンや環境により結果が多少ことなります。
解析モデルダウンロード
-
プロジェクトファイルをダウンロード(右クリックし、名前を付けてリンク先を保存してください。)
解析空間
|
項目 |
条件 |
|
解析空間 |
2次元 奥行方向の厚み:1[mm] |
|
モデル単位 |
mm |
解析条件
|
項目 |
条件 |
|
音波解析[Mach] |
|
|
解析の種類 |
|
|
オプション |
「損失計算を行う」にチェックを入れます |
調和解析およびメッシュの設定を以下のように行っています。
|
タブ設定 |
設定項目 |
条件 |
|
メッシュ |
標準メッシュサイズ |
1 |
|
調和解析 |
周波数:スイープ値 |
最小 100[Hz] 最大 10000[Hz] 分割数 100 |
|
周波数:スイープタイプ |
対数間隔 |
|
|
周波数スイープ |
逐次スイープ |
モデル図
長方形(50x1[mm])のシートボディを用意し、その材料を吸音材としました。その左に、空気(2x1[mm])のシートボディを用意しました。
空気領域の左端の辺には速度の境界条件vを設定しています。他の辺には境界条件を設定していませんが、外部境界条件(剛体壁)として扱われます。

ボディ属性および材料定数の設定
|
ボディ No./ボディタイプ |
ボディ名 |
材料名 |
|
0/Solid |
吸音材 |
吸音材 |
|
1/Solid |
空気 |
000_空気 |
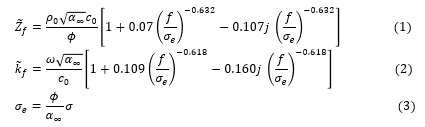
材料定数の求め方がこの例題の肝になります。材料の複素音速と複素密度を、Excelで計算し、テーブル(下図)で入力しました。計算方法を以下に示します。

多孔質材の内部流体モデルとしてよく用いられるmikiモデル[2][3]を用いると、吸音材の固有音響インピーダンス(Zf)や、複素波数(kf)の周波数特性を、式(1)-(3)で表すことができます。
解析で用いた材料定数を示します。
流れ抵抗(σ) : 6900 [N/m4]
迷路度(α∞) : 1.0 [ ]
多孔度(φ) : 1.0 [ ]
Femtetの音波解析に必要な、複素音速(c)と複素密度(ρ)は、miki モデルで求めた複素波数、固有音響インピーダンスから(4),(5)式で求める事が可能です。

- 材料の計算に用いたExcelファイル( model13_material_miki_model.xlsx
)です。ダウンロード。
- このように、複素音速、複素密度の周波数特性をテーブルで入力する方法は、miki モデル以外のモデルに展開することも可能です。
境界条件
|
境界条件名/トポロジー |
タブ |
境界条件の種類 |
条件 |
|
v/Edge |
音波 |
速度 |
1.0[m/s] 「入力波を指定する」 |
|
外部境界条件 |
音波 |
剛体壁 |
|
解析結果
吸音材の吸収率の周波数特性を、ウエブサイト[1]から取得した実測値、理論値と比較します。最初に、Femtetの結果テーブルで得られる放射インピーダンスを示し、その次にExcelでの追加計算が必要な、吸収率の計算方法と計算結果を示します。
1.放射インピーダンスの周波数特性
結果テーブルの、放射インピーダンス詳細タブを開いて、全結果まとめ表示の状態で、グラフボタンを押すと、周波数特性のグラフが表示されます。

第1図 放射インピーダンスの周波数特性(結果テーブルとグラフ)
2.吸収率の周波数特性
吸収率の計算は、次式でできます。
吸収率 = ボディでの損失/入力パワー (6)
結果テーブルの「ボディでの損失」タブ、「入力パワー」タブから (6)式の右辺は分かりますので、後は割り算するだけで吸収率が求められます。
しかし、吸収率の周波数特性をFemtetの中では求められませんので、Excelを使って、グラフを作成しました。

第2図 吸収率の周波数特性
「参考資料」
[1] 日本建築学会 音響数値解析小委員会ウエブサイト news-sv.aij.or.jp/kankyo/s26/AIJ-Benchmark/index_j.html
[2]
Miki Y., Acoustical properties of porous materials - Modifications
of Delany-Bazley models, J. Acoust. Soc. Jpn (E). 11(1), 1990, pp. 19-24
[3] Miki Y., Acoustical properties of porous
materials - Generalization of empirical models, J. Acoust. Soc. Jpn (E).
11(1), 1990, pp. 25-28


