ホーム / 解析条件の設定 / 解析条件タブ一覧 / モータLD,LQ計算タブ
モータLD,LQ計算タブ
磁場過渡解析において、3相交流モータで以下の特性を計算するための条件を設定するタブです。
これら以外の特性計算時には、本タブの設定は不要です。
-
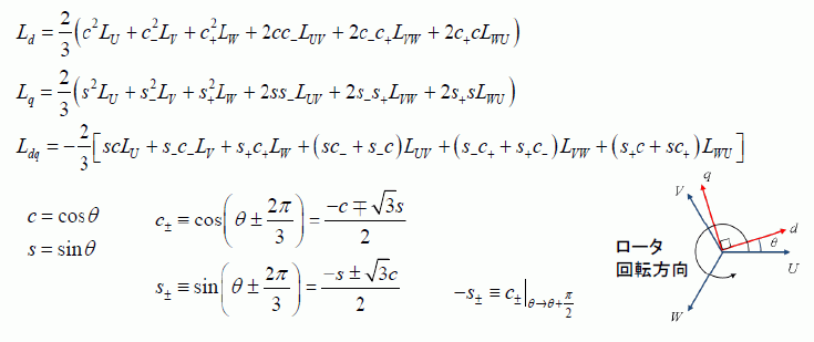
Ld,Lq
3相交流モータにおけるd軸インダクタンスLd,q軸インダクタンスLq,dq軸相互インダクタンスLdq,Lqdを算出します。 -
Lu、Lv,Lw
3相交流モータにおける3相インダクタンス行列成分Lu, Lv, Lw, Luv, Lvw, Lwuを算出します。
[解析条件の設定]ダイアログに表示されます。ダイアログの表示方法は「解析条件の設定」を参照してください。

|
設定項目 |
解説 |
|
計算する特性 |
Ld,Lq 3相交流モータにおけるd軸インダクタンスLd,q軸インダクタンスLq,dq軸相互インダクタンスLdq,Lqdを算出します。 設定された時間ステップで計算します。
Lu、Lv,Lw 3相交流モータにおける3相インダクタンス行列成分Lu, Lv, Lw, Luv, Lvw, Lwuを算出します。 設定された時間ステップで計算します。 計算に必要な設定
|
|
外部回路上のコイル名 |
3相交流ユニットのUコイル、Vコイル、Wコイルのそれぞれのコイルに割り当てる外部回路上のFEM素子のコイル名を選択します。
|
|
u軸に対するd軸の角度 |
Ld,Lq計算時に設定が必要です。
u軸に対するd軸の初期時刻での角度を設定します。 u軸を基準にして、d軸が進んでいれば正値、遅れていれば負値を設定します。
各軸の定義d軸:永久磁石の中心軸 (磁極がつくる磁束の方向) q軸:永久磁石間の軸 (d軸と磁気的に直交する軸) u軸:U相のコイルがつくる磁束の方向 例下図の場合、u軸に対するd軸の角度は、機械角で‐15[deg]となります。
|
|
計算する時刻ステップ |
各種計算を実施する時刻ステップ数を設定します。 時刻ステップ数を多くすると、計算時間が長くなります。
|
Ld,Lq計算式




