ホーム / テクニカルノート / 電場解析 / 電場解析(Coulomb)での容量・抵抗の算出方法
電場解析(Coulomb)での容量・抵抗の算出方法
静解析の場合
0[V]の導体1個と、電位をもった導体が2個ある場合を例に説明をします。
2つの導体に、それぞれ電位V1,V2を与えると、導体は電荷を帯びます。
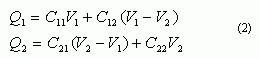
その電荷量Q1、Q2と電位の関係は、係数qijを用いて次のように表せます。
|
この関係式を変形して、次式が得られます。
ただし
Coulombでは、このCijを容量値(等価静電容量)として出力しています。
この容量値は行列として計算され、非対角成分(C12やC21)は電極間の容量値を表します。 容量値行列の対角成分は、各電極が孤立している場合の容量値(セルフキャパシタンス)を表します。
抵抗の解析では次式を満たすコンダクタンスGijを求め、抵抗値に変換して出力しています。
|
|
静解析におけるテーブル出力では、電極間の容量/抵抗を表す容量値行列/抵抗値行列の非対角成分のみ
出力しています。
調和解析の場合
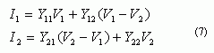
調和解析では次式を満たすアドミタンスyijを求めます。
|
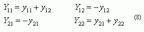
この関係式を変形して、次式が得られます。
ただし
得られたYijから、次式を用いて並列のRC回路の値を求め、出力しています。 この値は図2に示した等価回路のR、Cに相当します。
|
|












