ホーム / テクニカルノート / 電磁波解析 / 解析全般 / 電磁波解析で求解している微分方程式
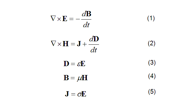
電磁波解析では次に示したMaxwell方程式を解いています。
共振解析 特定の周波数で駆動すると共振し、大きく振動するが、その周波数と振動モードの解析や調和解析 正弦波で駆動したときの解析。解析条件で駆動する周波数を指定する。、導波路解析 マイクロストリップラインや導波管など、電磁波が伝搬する導波路に対して、伝搬モードや伝搬定数を計算する。では正弦波を仮定し周波数領域で解いています。
E
ε
B
μ
D
σ
H
J