ホーム / テクニカルノート / 電磁波解析 / その他 / 電磁波解析での導体表面粗さ
電磁波解析での導体表面粗さ
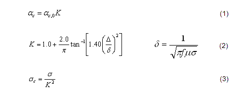
電磁波解析で導体表面粗さを考慮した計算の、計算方法を示します。導体表面に表皮厚み程度の凹凸がある場合、
表面が滑らかな場合に比べて抵抗が大きくなります。その抵抗が大きくなる割合にあわせて、導電率を調整し、電磁波
の解析を行っています。下に示した(3)式で、表面の凹凸を考慮した導電率σcを求めています。

αc,0 : 表面が滑らかな場合の導体損失
αc : 表面に凹凸がある場合の導体損失
f : 周波数
δ : 表皮厚み
Δ : RMS表面粗さ
μ : 透磁率
σ : 導電率
σc : 導体表面の凹凸による損失の増加を、導電率の減少に置き換えた時の導電率の値。
図1は、横軸を (表面粗さ/表皮厚み) にとり、損失の変化を(2)式を用いて計算したものである。
![]() |
|
表面粗さ/表皮厚みδ |
|
図1 α:表面に凸凹がある時の損失 α0:表面が滑らかな時の損失 |
上の(1),(2)式は、参考文献[1]に示された式を用いています。
参考文献[1] : Transmission Line Design Handbook Brian C.Wadell Artech House
3.5.1.2.2 Effect of Conductor Surface Roughness



