ホーム / テクニカルノート / 電磁波解析 / 境界条件 / 入射波
入射波(電磁波解析)
入射波の機能は、電磁波の3次元調和解析で使える機能になります。入射波として扱えるのは平面波のみです。
入射波は開放境界条件を設定した境界から解析領域に入ってきます。入射波を用いた解析の注意点は以下の通りです。
1.モデルに開放境界条件が設定されている事が必要です。
2.開放境界が指定されたBodyの材料は、一種類に限られます。
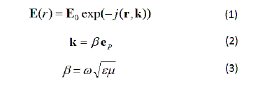
入射した平面波は、以下の式で計算しています。
![]() |
|
![]() |
:角周波数
:虚数単位 :誘電率 :透磁率 :伝搬定数 :伝搬方向単位ベクトル :波数ベクトル :電界ベクトル :位置ベクトル |
ここで、誘電率、透磁率は、開放境界条件が設定されたボディの材料として設定した値となります。ただし、異方性材料
には対応していません。
使い方は、解析条件の電磁波解析オプションで、入射波にチェックを入れて、入射波(平面波)タブで、入射波の性質を入力
します。
入射波タブで入力した伝搬方向ベクトルを、大きさ1の単位ベクトルに変換したものが、上記伝搬方向単位ベクトル
(eP)になります。また入射波タブで入力した電界方向のベクトルは、上記電界ベクトル(E0)になります。




