ホーム / テクニカルノート / 電磁波解析 / 解析条件 / 高速スイープ
高速スイープ
1.基本
調和解析では次式(1)のような連立1次方程式を解いています。

ここでωは角周波数を表しています。xは求めたい場を表し、fはその場を駆動する力を表しています。
Aは解くべきモデルの形状や材料を反映した行列です。例えば周波数faから周波数fbまでn分割した場合、
調和解析では周波数を変えながら、n+1回の逆行列計算が必要になります。通常Aの行列は非常に大規模なため、
この連立一次方程式を解くのには時間がかかります。そこでn+1回の、大規模な逆行列計算の回数を少なくするため
に考えられたのが高速スイープです。
Femtetではx(ω)がいくつかの周波数ポイントにおける解の線形和で表せると仮定しています。すなわち、

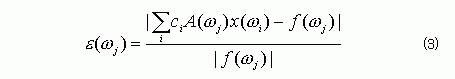
となります。Ciは係数で、最小二乗法を使って決めることができます。いくつかの周波数ポイントでは、(1)式をといてx(ω)を求めますが、それ以外の周波数では既に求めたx(ω)を使って、簡易的にx(ω)を得ることができます。最初に(1)式を解くのは、計算範囲の最小周波数ですが、以降は(3)式で示された、残差が大きい周波数から解きます。
残差がユーザの指定した値以下になった時点で全ての解が得られたと判断します。ただし電磁波解析ではSパラの
周波数特性も計算しており,その変化量が”Sパラの変化量”よりも小さくなると、解が収束したと考えて計算が終了します。

指定した周波数範囲に、共振点が多いと、たくさんの周波数ポイントを計算しなくてはなりません。それは、その周波数に
おける場を表すために、多くのベクトルが必要だからです。したがって、Femtetの高速スイープは、共振が多い周波数範囲
の特性を計算するのは不得意です。
2.電磁波解析の場合
以上が、高速スイープの基本的な説明になりますが、電磁波解析の場合は、(2)式を少し変えて、解以外のベクトルも
利用することにより、より高速化を実現しています。また、高速化の為に、一部解くべき式を簡略化している部分があります。
導体の表面インピーダンスは、本来周波数に依存しますが、参照周波数で得られる表面インピーダンスが、解析周波数
範囲において一定という条件で解いています。
最後に適応例を示します。Hertzの「例題5空洞共振器」において、高速スイープを使用した場合と使用しない場合の
Sパラメータの計算結果を下の図に示しています。両者は、非常によく一致している事がわかります。この例題の場合、
高速スイープ使用時に逆行列の演算をしたのは、マーカーM01,M02の2ポイントのみになります。



