ホーム / テクニカルノート / 熱伝導解析 / 熱伝導解析で出力される計算値(テーブル)
熱伝導解析で出力される結果テーブル
熱伝導解析で出力される結果テーブルを以下にまとめます。
熱収支、熱流量と熱抵抗、ジャンクション熱抵抗については、別途詳細を説明しています。
|
テーブル項目 |
パラメトリック解析 |
パラメトリック解析 |
解説 |
|
時刻 |
時刻 |
なし |
時刻[s]を取得します。取得できるのは、過渡解析のときです。 |
| 温度 |
全体の最高温度 全体の最低温度 全体の平均温度 |
なし |
モデル全体の最高温度、最低温度、平均温度[deg]を取得します。 |
|
最高温度 最低温度 平均温度 |
ボディ属性 |
指定したボディ属性での最高温度、最低温度、平均温度[deg]を取得します。 |
|
|
境界温度 |
境界最高温度 境界最低温度 境界平均温度 |
指定した境界条件での最高温度、最低温度、平均温度[deg]を取得します。 | |
| 熱収支 |
発熱量の合計 |
なし |
モデル全体の発熱量[W]を取得します。 |
|
熱の流入量・流出量の合計 |
熱流量の成分※1 |
指定した成分によるモデル全体の熱の流出量、流入量[W]を取得します。 |
|
|
蓄熱量の合計 |
なし |
蓄熱量[W]の合計を取得します。温度上昇に使われた熱量を表します。 取得できるのは、過渡解析のときです。 |
|
| 発熱量 |
ボディ属性 |
指定したボディ属性での発熱量[W]を取得します。 | |
|
熱の流入量・流出量 |
ボディ属性 熱流量の成分※1 |
指定した成分による指定したボディ属性からの熱の流出量、流入量[W]取得します。 |
|
|
蓄熱量 |
ボディ属性 |
指定したボディ属性の蓄熱量[W]を取得します。温度上昇に使われた熱量を表します。 取得できるのは、過渡解析のときです。 |
|
| 熱流量 |
熱流量 |
端子1※2 端子1の面選択 端子2※2 端子2の面選択 熱流量の成分※3 |
指定した二つの端子間の熱流量[W]を取得します。 端子として境界条件、発熱量を設定したボディ属性を選択可能です。
端子と環境の間の値の取得は、定常解析、過渡解析に対応しています。 端子間の取得は、定常解析のみです。 |
| 熱抵抗 |
熱抵抗 |
端子1※2 端子1の面選択 端子2※2 端子2の面選択 熱抵抗の成分※4 |
指定した二つの端子間の熱抵抗[deg/W]を取得します。 端子として境界条件、発熱量を設定したボディ属性を選択可能です。
端子と環境の間の値の取得は、定常解析、過渡解析に対応しています。 端子間の取得は、定常解析のみです。 |
| ジャンクション熱抵抗 |
ジャンクション-境界熱抵抗 |
ボディ属性 境界条件 境界条件の面選択※2 |
指定したジャンクション(発熱量を設定したボディ属性)と境界条件との間の熱抵抗[deg/W]を取得します。 取得できるのは、定常解析のときです。 |
|
ジャンクション-環境熱抵抗 |
ボディ属性 |
指定したジャンクション(発熱量を設定したボディ属性)と環境との間の熱抵抗[deg/W]を取得します。 環境温度として、境界条件「熱伝達・対流」で設定された環境温度の平均値を使用します。 取得できるのは、定常解析のときです。 |
|
| 収束判定 |
収束判定 |
なし |
非線形計算が収束したかどうかを取得します。 1:収束した 0:収束していない |
※1
取得する成分として、移流(in)(流体との連成の時のみ)、熱伝導(in)、対流(in)、輻射(in)、その他(in)、移流(out)(流体との連成の時のみ)、熱伝導(out)、対流(out)、輻射(out)、その他(out)のいずれかを選択します。
「その他」は、温度境界に発生する熱流量、熱流束境界による熱流量、熱伝達・対流境界において、熱伝達係数指定を行ったときの熱流量が該当します。
※2
端子として、発熱量を設定したボディ属性または境界条件を選択することができます。
熱抵抗境界では面が二つ存在するため、面番号指定が必要です。(熱抵抗境界以外の場合、どちらを選択してもかまいません)
※3
取得する成分として、全体、移流(流体との連成の時のみ)、熱伝導、対流、輻射、その他のいずれかを選択します。
「その他」は、温度境界に発生する熱流量、熱伝達・対流境界において、熱伝達係数指定を行ったときの熱流量が該当します。
※4
取得する成分として、全体、移流(流体との連成の時のみ)、熱伝導、対流、輻射、その他のいずれかを選択します。
「その他」は、熱伝達・対流境界において、熱伝達係数指定を行ったときの熱抵抗が該当します。
熱収支の算出
熱伝導解析では、すべてのボディについて、以下の熱収支の式が満たされるように解析が行われます。
ボディ内部の発熱量 + ボディ表面からの熱の流入量 = ボディ表面からの熱の流出量 + ボディ内部の蓄熱量
これらの熱量をボディ属性毎に集計した値を出力します。
流入量、流出量は、熱伝導、対流、輻射、その他、4つの成分に分離して出力します。
蓄熱量が+の場合、熱量は物体の温度上昇に使われ、蓄熱量が-の場合は、温度が低下し周囲に熱を放出します。
定常解析では蓄熱量はゼロになるため、蓄熱量は出力されません。
熱流量・熱抵抗の算出
モデルを等価回路に置き換えて熱流量と熱抵抗を算出します。
実施例は「例題21 測定端子境界を用いた熱抵抗と熱流量測定」を参照してください。
等価回路に置き換える際には、
・「発熱量」を設定したボディ属性
・「断熱」以外の境界条件
を回路のノード(Femtetでは端子と呼びます)として、熱等価回路を仮定します。
各部位の回路としての機能は以下の表のとおりです。
|
ボディ属性/境界条件 |
回路 |
備考 |
|
発熱量を設定したボディ属性 |
熱源 |
|
|
温度境界 |
温度差 |
環境への熱流量が発生します。 |
| 熱流束境界 |
熱源 |
|
| 熱伝達・対流境界 |
熱抵抗 |
環境との間に熱抵抗が発生します。
環境への熱流量が発生します。 |
| 環境輻射境界 |
熱抵抗 |
環境との間に熱抵抗が発生します。
環境への熱流量が発生します。 |
| 表面間輻射境界 |
熱抵抗 |
環境(スキマ)との間に熱抵抗が発生します。
環境(スキマ)への熱流量が発生します。 |
| 熱抵抗境界 |
熱抵抗 |
表面と裏面の間に熱抵抗が発生します。 |
| 測定端子境界 |
ノード |
新たにノードを追加するときに使用します。 |
| 等温度境界 |
ノード |
等温度のノードが追加されます。 |
これらのすべての端子間の間が、抵抗で結ばれると仮定して、それぞれの端子間の熱流量と熱抵抗を算出します。
また、環境への熱流量・熱抵抗が発生する端子に関しては、環境への熱流量、環境との熱抵抗が出力されます。

計算の結果、熱流量がゼロ、熱抵抗が∞となった場合は、熱的な接続がないものとして、端子間熱流量・熱抵抗は出力されません。

「対流」と「輻射」など、複数の形態で熱の流れが発生する場合、並列回路として考えることができます。
この場合、それぞれの形態毎の熱流量・熱抵抗と、並列回路を合成した全熱流量・全熱抵抗を出力することができます。

ジャンクション熱抵抗の算出
半導体パッケージは、稼働時に発熱するジャンクション(半導体チップのpn接合部)の温度上昇を許容温度以下に抑制して使用する必要があります。
環境の温度や半導体パッケージ表面の温度から、ジャンクション(発熱部)の温度を見積もるために、熱抵抗を使用します。
ここで使用する熱抵抗は、前述の、等価回路に置き換えて求めた熱抵抗とは異なる定義で計算する必要がありますので、
Femtetでは、上記の「熱抵抗」出力とは別に、「ジャンクション熱抵抗」として出力する機能を備えています。

一般に、JEDEC規格(JESD51)で規定されている、以下の表に5つの熱抵抗、熱パラメータが使われます。
Femtetでの出力方法も以下の表に記載しています。
実施例は、「例題22 半導体パッケージのジャンクション熱抵抗測定」を参照してください。
|
種類 |
計算式 |
Femtetでの出力 |
|
ジャンクション-環境間熱抵抗θja |
|
JEDEC規格の測定環境に沿った、自然対流環境を模擬したモデル作成
境界条件「熱伝達・対流」で環境温度を設定 ジャンクション-環境熱抵抗を出力 |
|
ジャンクション-パッケージ表面間 |
|
JEDEC規格の測定環境に沿った、パッケージ表面を通してのみ放熱するモデル作成
パッケージ表面からケース上面中央に境界条件「測定端子C」を設定 ジャンクション-境界熱抵抗を出力し、「測定端子C」の値を確認 |
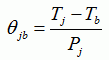
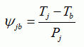
| ジャンクション-基板間 熱抵抗θjb |
|
JEDEC規格の測定環境に沿った、基板を通してのみ放熱するモデル作成
半導体パッケージから1mm以内の基板表面に境界条件「測定端子B」を設定 ジャンクション-境界熱抵抗を出力し、「測定端子B」の値を確認 |
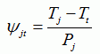
| ジャンクション-ケース上面間 熱パラメータΨjt |
|
JEDEC規格の測定環境に沿った、自然対流環境を模擬したモデル作成
ケース上面中央に境界条件「測定端子C」を設定 ジャンクション-境界熱抵抗を出力し、「測定端子C」の値を確認 |
| ジャンクション-基板間 熱パラメータΨjb |
|
JEDEC規格の測定環境に沿った、自然対流環境を模擬したモデル作成
半導体パッケージから1mm以内の基板表面に境界条件「測定端子B」を設定 ジャンクション-境界熱抵抗を出力し、「測定端子B」の値を確認 |
Tj:ジャンクション温度、Pj:ジャンクション発熱量
Ta:環境温度、Tt:ケース上面温度、Tc:ケース表面温度、Tb:半導体パッケージから1mm以内の位置の基板表面温度
ジャンクション-環境熱抵抗、および、ジャンクション-境界熱抵抗は以下の式を用いて算出しています。
|
種類 |
計算式 |
解説 |
|
ジャンクション-環境間熱抵抗θja |
|
Pj:選択したボディ属性の発熱量[W] Tjmax:選択したボディ属性の最高温度[deg] Ta:境界条件「熱伝達・対流」で設定された環境温度の平均値[deg] |
|
ジャンクション-境界間熱抵抗θjbnd |
|
Pj:選択したボディ属性の発熱量[W] Tjmax:選択したボディ属性の最高温度[deg] Tbnd:選択した境界条件の平均温度[deg] |









