Home / Examples / Stress Analysis [Galileo] / Example 53: Both Ends Supported Bar under Distributed Load

Triangular distributed load is applied on a bar with its ends are supported.
Set the distributed boundary conditions. See [How to Set Distributed Boundary Condition and Body Attribute] for more information.
The deformation, the displacement and the stress are solved.
Unless specified in the list below, the default conditions will be applied.
Results will vary depending on Femtet version and the PC environment.
Item |
Settings |
Analysis Space |
3D |
Model Unit |
mm |
The default conditions will be applied.
Item |
Settings |
Solver |
Stress Analysis [Galileo] |
Analysis Type |
Static Analysis |
Options |
N/A |
The bar is a rectangular solid body. The material is polycarbonate.
Distributed load is applied on the top face. Both edges of the bottom face is fixed in Z direction.

Body Number/Type |
Body Attribute Name |
Material Name |
0/Solid |
BEAM |
002_Polycarbonate(PC) * |
* Available from the material DB
The pressure is applied gradually increasing from left to right as shown below.
Distribution Data: Pressure = 0 at X = 0, Pressure = 1 [MPa] at X = 50 [mm].

Boundary Condition Name/Topology |
Tab |
Boundary Condition Type |
Settings |
FIX/Face |
Mechanical |
Displacement |
Select the Z Component. |
LOAD/Face |
Mechanical |
Pressure |
Select [Use distribution data].
[Coordinates-Pressure] Table
|
Click [Run Mesher] on the pull-down menu of [Run Mesher/Solver] and see the meshing result.
Select [Distributed pressure] at [Field] to view the entered distribution.
You may click [Run Mesher/Solver] instead. In that case, select [Mesh Information] at [Mode] and then select [Distributed pressure] at [Field].
The linearly changing pressure can be observed.

The figure below is the gradation contour of Z component of Displacement.
It is a bottom view. The minimum value of displacement is shown.

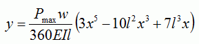
The lowest displacement is 27.584 [mm] at X = 26 [mm]
The formula

gives 27.297 [mm] at X = 25.967 [mm]
They are well matched.
Here,
y: Displacement, l, w, h: Dimensions of the bar, Pmax: Maximum pressure, x: Coordinate, E: Young's modulus, I: Second moment of area
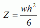
Second moment of area for a rectangle section is given by

The contour indicates the X normal stress.
It is a bottom view. The maximum value of stress is shown.

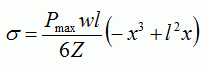
The maximum stress is 241.087 [MPa] at X = 28.938 [mm]
The formula

gives 240.563 [MPa] at X = 28.867 [mm]
They are well matched.
Here,
σ: Stress, l, w, h: Dimensions of the bar, Pmax: Maximum pressure, x: Coordinate, Z: Section modulus
Section modulus Z for a rectangle section is given by
