Home / Technical Notes / Fluid Analysis/Fluid-Thermal Analysis / Meshing Setup near the Wall Surface
Meshing Setup near Wall Face
1. Velocity Distribution near the Wall Face
Below are examples of the flow velocity distribution near the solid wall in contour and vector diagrams.


Following is a relation between the height from the wall face and the flow velocity.

As seen in the examples above, the flow velocity near the wall face has the following characteristics.
- The flow velocity vectors are in the wall face direction (the fluid flows along the wall).
- The velocity distribution changes greatly according to the height from the wall face.
2. Wall Functions Relating to the Flow Velocity
There is a regularity between the height from the wall face and the fluid velocity.
Dimensionless height y+ and dimensionless velocity u+ have the relation as follows.
These are the wall functions.
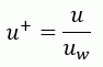
2.1 Dimensionless Quantities
Dimensionless Height

Dimensionless Velocity

The variables are as listed below.

2.2 Characteristics of the Wall Functions
y+ below 5 is called viscous domain. y+ and u+ are proportional.
y+ larger than 30 is called logarithmic domain. The logarithm of y+ and u+ are proportional.

The equations above are represented by the graphs below. The horizontal axis of the right graph is logarithm.
Femtet uses interpolated curve to connect the viscous domain and the logarithmic domain smoothly.

The constants are as listed below.

3. Meshes near the Wall Face
The flow velocity near the wall face has the following characteristics.
- The flow velocity vectors are in the wall face direction (the fluid flows along the wall).
- The velocity distribution changes greatly according to the height from the wall face.
It can be said that the fine layer meshes only in the height direction are effective to calculate the flow near the solid wall.
For accurate calculation, the mesh height near the sold wall must be properly set.
There are two ways for the proper mesh setting as follows.
(1) gives more accurate calculation but the mesh size needs to be small, and the calculation load is large.
(1) Set the mesh size fine enough so that the flow velocity distribution near the wall face becomes smooth.
- Set the 1st layer at about y+=1 to 5
- Recommended layer mesh domain is up to around y+=200 where the change is drastic.
|
1st Layer Setting |
Example |
Notes |
|
y+=1 |
Growth Rate: 1.2 Number of Layers: 20 |
If the 1st layer is at y+=1, it is possible to set the layer mesh domain up to y+=186. |
|
Growth rate: 1.5 |
If the 1st layer is at y+=1, it is possible to set the layer mesh domain up to y+=257. |
|
| y+=5 |
Growth Rate: 1.2 Number of Layers: 12 |
If the 1st layer is at y+=5, it is possible to set the layer mesh domain up to y+=197. |
|
Growth rate: 1.5 Number of Layers: 8 |
If the 1st layer is at y+=5, it is possible to set the layer mesh domain up to y+=246. |
The result shown in [1. Velocity Distribution near the Wall Face] was acquired from the settings of 1st layer y+=1, growth rate of 1.2, and the number of layers of 20.
(2) Place the 1st layer in the logarithmic domain of the wall function. (For the k-ε model in the turbulent analysis only)
- It is important to place the y+ of the 1st layer in the logarithmic domain (30<y+<200).
The settings of y+=74.5, growth rate of 1.2 and the number of layers of 5 are applied to the analysis condition in [1. Velocity Distribution near the Wall Face]. The result is as shown below.
It can be said that the distribution in the area higher than the 1st layer almost matches with the case where the meshes are fine enough.
Since the wall function used for calculation in the SST k-ω model is a hybrid of viscous sublayer and logarithmic domain, y+<200 is acceptable.



4. Validity Check of the Meshes near the Wall Face
4.1 Output of y+(Height of 1st Layer Mesh of Wall Face)
The result of y+ (the height of the 1st layer of the wall face) is used as a reference to judge if the mesh height is appropriate.
The result is represented by the contour diagram and the values of the table are shown below.
The solid wall boundary condition and the body attribute of solid material are represented in the table.


For the table values of y+, y+average and y+distribution can be output. See [Reult Table in the Fluid Analysis for the details.
y+distribution shows the ratio of five areas, which are calculated from the sum of the values of y+ of all nodes on the solid wall boundary condition.
The five areas are as follows. Areas (1) and (2) are the viscosity domain, (3) is the transition domain, and (4) is the logarithmic domain.

For the turbulent analysis, the y+ of the1st layer of the wall face must be below 200.
It is because that the applicable area for the wall function is y+<200.
If the ratio of y+>200 is high, a warning message will show up.
For the laminar flow analysis, the y+ of the1st layer of the wall face must be below 5.
As the wall function is not performed, the accuracy is deteriorated significantly in the area of y+>5 where the relationship of y+ and u+ is nonlinear.
If the ratio of y+ in the out-of-area is high, a warning message will show up.
If the ratio of y+>5 is high, a warning message will show up.
If the flow on the wall surface is complex, the idea described in [(1) Set the mesh size fine enough so that the flow velocity distribution near the wall face becomes smooth]
may be useful where the detailed calculation is performed with the smaller y+.
See [Example 2: Cooling of Plate by Forced Convection (Turbulent Flow)] for more details.
4.2 Output of Recommended Values
For the values to achieve the appropriate mesh height, the recommended values of the height of the 1st layer mesh are output in the table. See [Reult Table in the Fluid Analysis for the details.
The recommended values are output to realize y+<1, y+<5, and y+<200.

If the layer mesh is set based on the idea of [(1) Set the mesh size fine enough so that the flow velocity distribution near the wall face becomes smooth],
the height of the 1st layer mesh is set by using the recommended values for y+<1 and y+<5.
The growth rate and the number of layers also need attention in the setup. (See [3. Meshes near the Wall Face] above)
If the layer mesh is set based on the idea of [(2) Place the 1st layer in the logarithmic domain of the wall function. (For the turbulent analysis only)],
the height of the 1st layer mesh is set by using the recommended value for y+<200.
The layer mesh can be set on the [Fluid Analysis tab] and [Fluid-Thermal Analysis tab] for the analysis condition, and on the Fluid tab (Fluid-Thermal tab)] for the boundary condition.
5. Wall Functions Relating to the Temperature
Like flow velocity, there is a regularity between the height from the wall face and the temperature.
u+ and T+ have a certain relationship where T+ is dimensionless temperature.
It is called wall function.
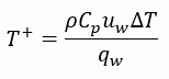
5.1 Dimensionless Quantities
Dimensionless Temperature

The variables are as listed below.

5.2 Characteristics of the Wall Functions
In the viscosity domain, T+ is proportional to y+ and the Prandtl number.
In the logarithmic domain, T+ is proportional to the logarithm of y+ and the turbulent Prandtl number. The value of T+ shifts according to the Prandtl number (Pr) and the turbulent Prandtl number (Prt).
Femtet uses interpolated curve to connect the viscous domain and the logarithmic domain smoothly.

6. Wall Functions Relating to Diffusion
Like flow velocity, there is a regularity between the height from the wall face and the diffusion value.
If Φ+ is defined below as a dimensionless diffusion value, u+ and Φ+ have a certain relationship.
It is called wall function.
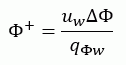
6.1 Dimensionless Quantities
Dimensionless Diffusion Value

The variables are as listed below.

6.2 Characteristics of the Wall Function
In the viscosity domain, Φ+ is proportional to y+ and the Prandtl number.
In the logarithmic domain, Φ+ is proportional to the logarithm of y+ and the turbulent Schmidt number. The value of Φ+ shifts according to the Schmidt number (Sc) and the turbulent Schmidt number (Sct).
Femtet uses interpolated curve to connect the viscous domain and the logarithmic domain smoothly.



