Home / Technical Notes / Stress Analysis / Analysis of Nonlinear Materials / Analysis of Viscoelastic Materials
Analysis of Viscoelastic Materials
(Note) Viscoelastic analysis is available in an optional package.
Viscoelastic Materials
Viscoelastic materials can be analyzed in the stress static analysis, the transient analysis, the stress harmonic analysis, and the piezoelectric harmonic analysis.
Viscoelastic materials such as resins and polymers deform with time and temperature. Their characteristics can be analyzed.
See also Viscoelastic Tab, [Example 51: Deformation of Viscoelastic Bar], and [Example 60: Warp of Substrate in the Cooling Process of Resin].
Characteristics of Viscoelastic Materials
Viscoelastic materials have the following characteristics:
- Stress relaxation occurs.
If the deformation is kept constant, the internal stress decays gradually with time.

- Creep deformation occurs.
If the stress is kept constant, the object deforms further with time.

Creep materials have the same characteristics but their material properties are set up differently.
Therefore, the viscoelastic materials are treated differently from the creep materials. Decide which analysis you are going to perform, and set the parameters on either [Creep] tab or [Viscoelasticity] tab.
See [Analysis of Creep Materials] for more details of creep materials.
Generalized Maxwell Model
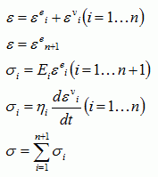
The viscoelastic materials are represented by two components:
- Elastic component (spring)
- Viscous component (dashpot)
The characteristics of elastic and viscous components are as follows.
For the elastic component, the stretch is proportionate to the given force. (Constant stretch)
For the elastic component, the stress is proportionate to the given stretch. (Constant stress)
For the viscous component, the stretching speed is proportionate to the given force. It stretches over time.
For the viscous component, the stress is not generated with the given stretch (no change in stretch, stretching speed=0).
The Maxwell model consists of an elastic spring and a viscous dashpot connected in series.
The Kelvin-Voigt model connects them in parallel.
The Maxwell model is suitable for representing the stress relaxation. The Kelvin-Voigt model is suitable for representing the creep deformation.
The figure below is the Maxwell model.


The relaxation modulus represents the stress change with time against the given constant strain.
The relaxation time is a ratio of coefficient of viscosity to the Young's modulus.
To cope with various materials,
the Maxwell model is generalized.

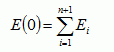
Generalized Maxwell Model under Static Strain
Under a fixed strain, the stress can be described with the relaxation modulus
It relaxes with time.

The relaxation modulus can be rewritten with the initial modulus E0 and the coefficient of modulus βi.
It consists of the elastic factor and the relaxation factor.
![]() |
| Elastic factor Relaxation factor |
| Initial modulus |
![]() |
| Coefficient of modulus |
![]() |
Thus the relaxation behavior is given by the coefficient of modulus βi and its relaxation time Ti [s].
This is called Prony series.
β∞ is the coefficient for the infinite time ∞.
Shown below are the initial elastic modulus, coefficient of modulus, and relaxation time on a [Relaxation modulus - Time] graph.
The relaxation time indicates the time when the elasticity decreases. The coefficient of modulus indicates the decrease rates of elasticity.
The initial elasticity E(0) = 1[GPa], β1 = 0.2, T1 = 1 , β2 = 0.4, T2 = 100

Generalized Maxwell Model under Dynamic Strain
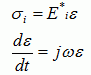
Under a dynamic strain oscillating at a certain frequency, the stress can be described with dynamic modulus (storage modulus and loss modulus).
The viscosity causes the phase delay of dynamic modulus.
| Equations | Stress-Total Strain Relationship (Assumption under oscillating total strain) |
![]() |
![]() |
| Relaxation time | |
![]() |
|
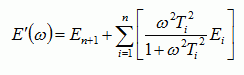
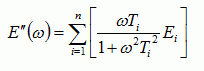
| Dynamic modulus | |
![]() |
| Real part: Storage modulus |
![]() |
| Imaginary part: Loss modulus |
![]() |
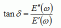
| Loss tangent |
![]() |
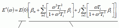
The dynamic modulus can be rewritten with the initial elastic modulus E0 and the coefficient of modulus βi.
It consists of the elastic factor and the oscillation factor.
![]() |
| Elastic factor Oscillation factor |
Thus the oscillation behavior is given by the coefficient of modulus βi and their relaxation time Ti [s].
This is called Prony series.
β∞ is the coefficient for the infinite time ∞.
Shown below are the initial elastic modulus, coefficient of modulus, the relaxation time on a [Dynamic modulus - Frequency] graph.
The relaxation time indicates local maximums of loss modulus. The coefficient of modulus indicate the increase rates of elasticity.

3-Dimensional Behavior
Young's modulus describes the 1-dimensional elasticity,
whereas Shear modulus G and Bulk modulus K are used to describe the 3-dimensional elasticity.
Stress and strain consist of shear component and bulk component.
Viscoelasticity can be calculated for each component.
It is possible to take into account only one component rather than both. The equations below are relaxation moduli.

where G(t) is the shear relaxation modulus [Pa], K(t) is the bulk relaxation modulus [Pa],
G0 is the initial shear modulus, and K0 is the initial bulk modulus [Pa].
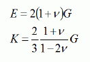
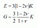
These moduli are interchangeable.
|
・Young's modulus E⇒G, K |
・Shear elastic modulus G⇒E, K |
・Bulk modulus K⇒E, G |
![]() |
![]() |
![]() |
Defining the Viscoelasticity
There are three ways to enter the viscoelasticity data:
1) Prony series (Set the temperature dependency for thermal load as well)
2) Dynamic modulus with freq characteristics (Set the temperature dependency for thermal load as well)
3) Dynamic modulus with temp/freq characteristics
There are two measurement methods.
- Static measurement: Stress relaxation is measured under a constant strain, or creep strain is measured under a constant stress
- Dynamic measurement: Stress is measured under a periodic strain, and vice versa.
Relaxation modulus is obtained through static measurement. Dynamic modulus is obtained through dynamic measurement.
Dynamic measurement is more common and performed at various temperatures and frequencies.
The obtained data can be entered directly through 2) or 3).
1) Prony Series Input
Material properties required for the viscoelastic analysis are: relaxation modulus for the static and transient analyses, and dynamic modulus for the harmonic analysis.
- Static and transient analyses
Elastic factor (G0 or K0) is calculated from Young's modulus and Poisson's ratio set on elasticity tab.
Relaxation factor is set in the relaxation table of viscoelasticity tab.
- Harmonic analysis
Elastic factor (G0 or K0) is calculated from Young's modulus and Poisson's ratio set on elasticity tab.
Oscillation factor is set in the relaxation table of viscoelasticity tab by entering the coefficient of modulus.
2) Dynamic Modulus (freq response) Input
Material properties required for the viscoelastic analysis are: Prony series and initial modulus for the static and transient analyses, and dynamic modulus for the harmonic analysis.
- Static and transient analyses
Define the dynamic modulus vs frequency in the relaxation table of viscoelasticity tab.
The dynamic modulus could be Young's modulus, Shear modulus or Bulk modulus.
The entered data will be converted as follows.
- Data are converted to Prony series and the initial modulus.
- Harmonic analysis
Define the dynamic modulus vs frequency in the relaxation table of viscoelasticity tab.
The dynamic modulus could be Young's modulus, Shear modulus or Bulk modulus.
The entered data will be converted as follows.
- Data are converted to Prony series and the initial elastic modulus.
- They are reconverted to oscillation factor.
See also [Converting the Measurement Data of Viscoelastic Materials].
3) Dynamic Modulus (temp/freq characteristics) Input
Material properties required for the viscoelastic analysis are: Prony series and initial modulus for the static and transient analyses, and dynamic modulus for the harmonic analysis.
- Static and transient analyses
Define the dynamic modulus vs temperature/frequency in the relaxation table of viscoelasticity tab.
The dynamic modulus could be Young's modulus, Shear modulus or Bulk modulus.
The entered data will be converted as follows.
- Master curve and shift function are created.
- They are further converted to Prony series and the initial modulus.
- Harmonic analysis
Define the dynamic modulus vs temperature/frequency in the relaxation table of viscoelasticity tab.
The dynamic modulus could be Young's modulus, Shear modulus or Bulk modulus.
The entered data will be converted as follows.
- Master curve and shift function are created.
- They are further converted to Prony series and the initial modulus.
- They are finally converted to oscillation factor.
See also [Converting the Measurement Data of Viscoelastic Materials].
Temperature Dependency
The temperature affects the relaxation speed of viscoelastic materials.
Generally speaking, it is faster at higher temperature.
Shift factor is an indicator of temperature dependency.
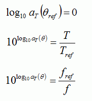
Shift function log10 aT has following characteristics.

where θref: reference temperature, θ: temperature, T:time, Tref: reference time, f: frequency, fref: basic frequency
Temperature θ can be converted to time T, or frequency f.
WLF and Arrhenius law represent the shift function's temperature characteristics. You may select either one.
Alternatively, you may define it yourself.
See [Viscoelasticity Tab] for more information.
Here is an example:
Let Shift factor log10aT= 1 at -10[deg], Shift factor log10aT= 0 at 0[deg], Shift factor log10aT= -1 at 10[deg].

At 0[deg], the relaxation modulus as set in the relaxation table is used.
At -10[deg], the relaxation modulus is shifted one digit to the right, which means that the relaxation decelerates.
At +10[deg], the relaxation modulus shifts one digit to the left, which means that the relaxation accelerates.
Defining the Viscoelasticity (Simple Setting)
Simple setting can be done with the temperature dependency of Young's modulus and glass transition temperature (Tg).
See [Viscoelasticity (Simple Setting)] for more information.
Materials for Viscoelastic Analysis
Materials need to have the following basic properties.
As creep material cannot be used together, select [No creep] for the Creep Type on the Creep tab.
- [Elasticity tab] (Temperature Dependency: "No", Material Type: "Isotropic")
- [Coefficient of Linear Thermal Expansion tab] (Temperature Dependency: "Yes" / "No", Anisotropy: "Isotropic" / "Anisotropic")
* To use Simple Setting, select [No viscoelasticity]
- Set Temperature Dependency: "Yes", Isotropic, and Material Type: viscoelasticity (simple setting) on the [Elasticity tab]
Analysis Conditions
Either condition below needs to be set.
1. Select [Static analysis] on the Stress Analysis tab and select [Set up ] for the Time setting on the Step/Thermal Load tab.
Based on the relaxation modulus, the creep or relaxation behavior can be analyzed.
2. Select [Transient analysis] on the Stress Analysis tab.
Based on the relaxation modulus, the creep or relaxation behavior can be analyzed.
3. Select [Harmonic analysis] on the Stress Analysis tab.
Based on the frequency-dependent dynamic modulus, the decaying behavior can be analyzed for each frequency.
4. Select [Harmonic analysis] on the Piezoelectric Analysis tab.
Based on the frequency-dependent dynamic modulus, the decaying behavior can be analyzed for each frequency.
Results Display
Creep strain, Equivalent creep strain, Accumulated creep strain and Accumulated equivalent inelastic strain are displayable as field.
















