Home / Technical Notes / Electromagnetic analysis / Boundary Condition / Incident Wave
Incident Wave
This function is available for the 3D electromagnetic-harmonic analysis. The plane wave can only be treated as the incident wave.
The incident wave comes into the analysis region from the boundary where the open boundary condition is set. To use this function, note the following.
1. The open boundary condition is required for the model.
2. One body material is only allowed for the open boundary.
3. The fast sweep, the the interpolation sweep, and PML are not allowed.
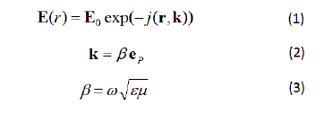
The incident plane wave is calculated by the equations below.
![]() |
|
![]() |
: Angular frequency : Imaginary unit : Permittivity : Permeability : Propagation constant : Unit vector of propagation direction : Wavenumber vector : Electric field vector : Position vector |
where the permittivity and the permeability are the ones of the body material to which the open boundary condition is set.
Note that anisotropic materials are not supported.
To use this function, select [Incident wave (plane wave)] in the Hertz Option of Analysis Condition Setting, and set up the characteristics of the incident wave in the Incident Wave (Plane Wave) tab.
The unit vector of propagation direction, eP in the equation above is obtained by normalizing the propagation direction specified on the [Incident Wave (Plane Wave)] tab with its own magnitude.
The electric field vector, E0 is the one entered on the [Incident Wave (Plane Wave)] tab.




