Home / Technical Notes / Electric analysis / Calculating Capacitances and Resistances in Electric Analysis
Calculating Capacitances and Resistances in the Electric Analysis
Static Analysis
Assume that there are a conductor of 0[V] and two conductors which have electric potentials.
Two conductors are placed over a ground plane. Their electric potentials are V1 and V2 .
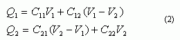
The relationship between the charges Q1 and Q2 and the electric potentials is represented as follows with coefficients qij.
|
By modifying the equation above, the following equations are obtained
where
The solver, Coulomb, outputs these Cij as capacitance values (equivalent capacitances).
This capacitance value is calculated as a matrix, and the non-diagonal component (C12 or C21) represents the capacitance value between the electrodes. The diagonal component of the capacitance matrix represents the capacitance value (self-capacitance) when each electrode is isolated.
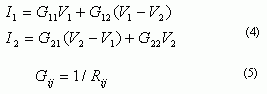
For resistance, conductance Gij is calculated and transformed to the resistance value.
|
|
For the table output in the static analysis, only the non-diagonal components of the capacitance matrix and resistance matrix are output. They represent the capacitance and resistance between the electrodes respectively.
Harmonic Analysis
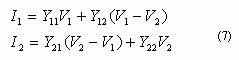
In harmonic analysis, admittances yij satisfying the following equation are calculated.
|
By modifying the equation above, the following equations are obtained
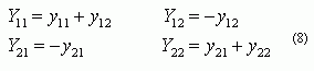
where
The resistance and the capacitance values of parallel RC circuit are calculated from Yij with the following equation. These values correspond to Rs and Cs of the equivalent circuit shown in fig.2.
|
|












