Home / Technical Notes / Stress Analysis / Analysis of Nonlinear Materials / Analysis of Hyperelastic Materials
Analysis of Hyperelastic Materials
(Note) Hyperelastic analysis is available in an optional package.
Analysis of Hyperelastic Materials
Analysis of hyperelastic materials is now available for static analysis and transient analysis.
Hyperelastic material is used to analyze large deformation of rubber and foam mterials.
The theory of hyperelastic materials is explained here.
Refer to [Example 59] for analysis using hyperelastic material.
Characteristics of Rubber
(1) Strain and stress are not proportional in the large deformation domain
If simple tensile force is applied,
Nominal strain: given by dividing extension by the length before deformation
Nominal stress: given by dividing force by cross sectional area before deformation
The relation of the above two is proportional in the linear elastic material but not proportional in the hyperelastic material.

(2) Form returns to its the original state after unloading the applied force
Like hyperelastic material, elasto-plastic material, creep material and viscoelastic material do not show the proportional relation of strain and stress.
In these materials, strain sometimes remains after unloading the force and the form is different from the original state.
But the hyperelastic material has a nature of elastic material, and it returns to the original form.
(3) Deformation does not change the volume
If hydrostatic pressure is applied which normally changes the volume, internal stress will be increased whereas the volume remains unchanged.
The material is equivalent to the Poisson's ratio of 0.5.
If the deformation is minute, linear elastic material can be analyzed setting Young's modulus, and setting Poisson's ratio to, say, 0.4999 for convenience sake.
But if the large strain of more than several % is generated, analysis will not match with actual deformation.
Characteristics of Foam Material
Foam material is porous like sponge.
Like rubber, it shows large deformation.
(1) Strain and stress are not proportional in the large deformation domain
(2) Form returns to its the original state after unloading the applied force
(3) Deformation changes the volume
The characteristics (1) and (2) are the same as rubber while the volume of foam material changes due to the deformation.
If the material is rubber, when it is compressed in one direction, it will stretch sideways to keep the volume unchanged.
In the case of foam material, its volume will become smaller and the stretch in sideways will be small.
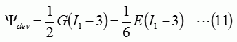
Strain Energy Function
For the hyperelastic material, the relation of stress and strain is represented by using strain energy function Ψ.
Stres S is expressed with strain energy Ψ and strain E as follows.
The Green-Lagrange strain and the 2nd Piola-Kirchhoff stress are applied for strain and stress.
Various models are proposed as defining equation of strain energy function.

Strain energy function is represented by the volume change component U and deviation component Ψdev which indicates deformation without volume change.

As the analysis domain is large deformation, select options for the large deformation to analyze the hyperelasticity.
The total Lagrangian formulation is done as the relation of Green-Lagrangian strains and the 2nd Piola-Kirchhoff stress is used.
See Analysis of Large Deformation (Geometric Nonlinearity) for details.
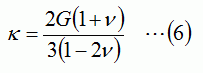
Incompressibility of Rubber
The nonlinear analysis of the stress is programed on the assumption that strain increment δE and stress increment δS have one-to-one relation using the elasticity matrix C.

Therefore, if incompressibility is included in the assumption, strain increment and stress increment cannot be connected on one-to-one relation basis.
For example, if hydrostatic pressure is applied to the incompressible material, strain will always be zero (increment is zero too).
But the stress will be larger in proportion to the pressure (stress increment is non-zero).
In order to put the strain increment and stress increment of hyperelastic material in the one-to-one relation for the nonlinear analysis of stress,
give small compressibility instead of complete incompressibility and take minute compressibility in the analysis.
The minute compressibility is represented by the bulk modulus κ which is a ratio of hydrostatic pressure p and volume strain εv.
In this equation, volume change ratio J is used for εv as follows.

A volume component U of the strain energy function is represented as follows with bulk modulus κ and volume change ratio J.

Bulk modulus is expressed with shear elastic modulus in the minute domain and the Poisson's ratio for each model as follows.
As incompressibility parameter, Femtet uses the Poisson's ratio instead of the bulk modulus. Automatic setting is Poisson's ratio of 0.499.
A bulk modulus is calculated with equations (11), (16), (18), and the Poisson's ratio.

*) In the 2D plane stress approximation, take into account the constraint of stress in the depth direction being zero.
It will connect the strain and stress on one-to-one relation basis and the complete incompressibility is taken into account for the analysis.
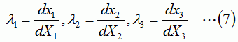
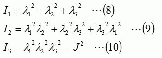
Stretch and Invariant
Strain energy function is defined with stretches λ1, λ2, and λ3, and strain invariants I1, I2, and I3.
The lengths in 3 directions before and after deformation are dX1, dX2, dX3 and dx1, dx2, dx3 respectively.
The ratio of lengths in each direction is called stretch.

The invariants are defined with stretches as follows.
I1, I2, and I3 represent change in length direction, surface area, and volume respectively.

Hyperelastic Model
Various models are devised as defining equation of strain energy function.
Femtet supports Neo-Hookean, Mooney-Rivlin, Ogden, and Ogden foam material analyses.
Neo-Hookean, Mooney-Rivlin, and Ogden models are used for rubber analysis. Ogden foam material model is for the foam material analyses.
Neo Hookean Model

It is lead by the Gaussian chain model.
If the shear elastic modulus G or the Young's modulus E are available as the material property, it can be defined. It is convenient for the simple analysis.
It is said that if the stretch goes higher than 1.3 (nominal tensile strain is 0.3), calculation result will not match with the actual deformation.
Mooney-Rivlin Model

C10, C01: Coefficient of Mooney-Rivlin Model
Material is incompressible and isotropic.
It is linear to the shear deformation.
The assumption mentioned above leads to the model.
Generally, the equation above is called Mooney-Rivlin Model.
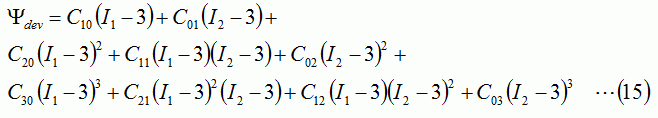
A generalized Mooney-Rivlin Model is as follows.

Cmn: Coefficient of Mooney-Rivlin Model
Equation (12) is the Mooney-Rivelin model when m = n = 1.
In Femtet, it is a 1st-order Mooney-Rivlin model.
Femtet can use the 2nd-order and 3rd-order Mooney-Rivlin (14) and (15) where the items of m + n ≦ 2 and m+n≦3 are applied.

C10, C01: 1st-order coefficient of Mooney-Rivlin model
C20, C11: 2nd-order coefficient of Mooney-Rivlin model

C10, C01: 1st-order coefficient of Mooney-Rivlin model
C20, C11, C02: 2nd-order coefficient of Mooney-Rivlin model
C30, C21, C12, C03: 3rd-order coefficient of Mooney-Rivlin model
With the 1st-order Mooney-Rivlin model, it is said to be difficult to reproduce behavior in the large strain domain where the stretch goes higher than 5 (nominal tensile strain is 4).
The higher order Mooney-Rivlin models can reproduce the behavior in the large strain domain.
For the Mooney-Rivlin model with any order, shear elastic modulus at the minute deformation is expressed as follows.
Negative value can be set for each coefficient but the equation must be greater than zero.

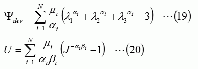
Ogden Model

Μi, αi: Coefficient of Ogden Model
The physical image may not be clear since the model is lead by mathematical approach.
Its feature is that it can reproduce the behavior in the large strain domain with high accuracy by increasing the items N.
Femtet can deal with maximum 4 items.
For the Ogden model, shear elastic modulus at the minute deformation is expressed as follows.
Negative value can be set for μi and αi, but the equation below must be grater than zero.

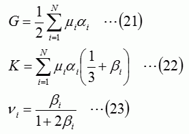
Ogden Foam Material Model

where μi, αi, βi are coefficients of Ogden foam material model
While Ψdev of the Ogden foam material model is same as the Ogden model,
an equation (20), where βi is for a volume change U, is used.
For the Ogden foam model, shear elastic modulus and bulk modulus at the minute deformation are expressed as equations (21) and (22).
Negative value can be set for μi、αi、and βi but the equations (21) and (22) must be greater than zero.
A Poisson's ratio for each item is expressed as equation (23). You can tell β is a coefficient relating to the poisson's ratio.
Material Test of Hyperelastic Material
To determine the coefficients of the Mooney-Rivlin or Ogden model, it is not enough to perform simple tensile test.
Generally, multiple material test results are combined to improve the accuracy of coefficients.
If only simple tensile test data is available, it is recommended that Neo-Hookean model is used.
There are four typical material tests as follows.
A compression test is often conducted for the foam material while it is not so often for the rubber material.
|
Material Test |
Displacement Diagram |
Notes |
|
Uniaxial Tensile |
|
Measure load and extension when pulling in one direction. Nominal strain = extension / length before applying load Nominal stress = load / cross sectional area before applying load
|
|
Biaxial Equal Tensile |
|
Measure load and extension when pulling in two directions. Nominal strain = extension in each direction / length before applying load Nominal stress = load in each direction / cross sectional area before applying load
|
|
Pure Shear |
|
Measure load and extension when pulling in one direction and fixing deformation in other direction. Nominal strain = extension / length before applying load Nominal stress = load / cross sectional area before applying load
|
|
Uniaxial Compression Test |
|
Nominal strain = shrinkage / length before applying load Nominal stress = load / cross sectional area before applying load |
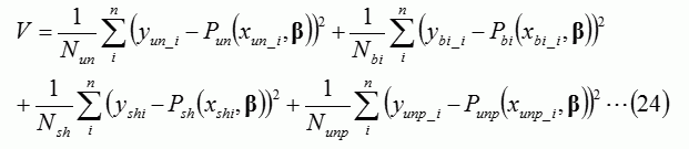
Femtet has a [Curve fit] function which will identify the coefficient for each model from the multiple material test results.
The least-squares method is used for curve fitting.
Obtain vector β having coefficient components of each model so as to make the value of function V minimum.

Xun_i, yun_i: ith experiment data of nominal strain and nominal stress of the uniaxial tensile test
Nun: number of experiment data of the uniaxial tensile test
Xun_i, yun_i: ith experiment data of nominal strain and nominal stress of the biaxial equal tensile test
Nun: number of experiment data of the biaxial equal tensile test
Xun_i, yun_i: ith experiment data of nominal strain and nominal stress of the pure shear test
Nsh: experiment data of the pure shear test
Xunp_i, yunp_i: ith experiment data of nominal strain and nominal stress of the uniaxial compression test
Nunp: number of experiment data of the uniaxial compression test
Pun: nominal stress of the uniaxial tensile derived from each model by coefficient β with nominal strain x.
Pbi: nominal stress of the biaxial equal tensile derived from each model by coefficient β with nominal strain x.
Psh: nominal stress of the pure shear derived from each model by coefficient β with nominal strain x.
Punp: nominal stress of the uniaxial compression derived from each model by coefficient β with nominal strain x.
To make the minimum value of V, obtain β which satisfies the expression below where V is partially differentiated by β.

For Neo-Hookean and Mooney-Rivlin models, equation (20) is the simultaneous linear equation. The optimum solution for β is obtained in one calculation.
For the Ogden model, as equation (20) includes item of power and is nonlinear calculation,
Gauss-Newton method is used to reach the optimum solution for β iteratively from the initial value.
So the optimum solution will be different depending on the initial value. The more optimum solution may be given by changing the initial value.
Femtet sets the initial value automatically. But it can be set manually to recalculate.
For the Ogden foam material model, μi and αi are identified after acquiring βi with equation (23) using the specified Poisson's ratio.
As with Ogden model, the optimum solution will be different depending on the initial value. Recalculation can be done by resetting the initial value.
See [Hyperelasticity Tab] for details of material fit.
Analysis Conditions
Either condition below needs to be set.
1.
[Mechanical Stress Analysis] tab > select [Static analysis] > select [Large displacement] or [Large strain]
2.
[Mechanical Stress Analysis] tab > select [Tab] > select [Large displacement] or [Large strain]
*) Select either large displacement or large strain to analyze hyperelastic material.
The selection is irrelevant to the results.






